This markdown mainly continuity from Gene Expression Note 1 but focus on TCGA analysis using TCGAbiolinks library. As always, it is recommended to check these publications first!
library(TCGAbiolinks)
library(SummarizedExperiment)
library(limma)
library(tidyverse)
library(dplyr)
library(DT)
library(forcats)
scale_fill_aziz <- function(...){
library(scales)
discrete_scale("fill","aziz",manual_pal(values = c("#386cb0","#fdb462","#7fc97f","#a6cee3","#fb9a99","#984ea3","#ffff33")), ...)
}
scale_colour_aziz <- function(...){
library(scales)
discrete_scale("colour","aziz",manual_pal(values = c("#386cb0","#fdb462","#7fc97f","#ef3b2c","#662506","#a6cee3","#fb9a99","#984ea3","#ffff33")), ...)
}
theme_Publication <- function(base_size=14, base_family="helvetica") {
library(grid)
library(ggthemes)
(theme_foundation(base_size=base_size, base_family=base_family)
+ theme(plot.title = element_text(face = "bold",
size = rel(1.2), hjust = 0.5),
text = element_text(),
panel.background = element_rect(colour = NA),
plot.background = element_rect(colour = NA),
panel.border = element_rect(colour = NA),
axis.title = element_text(face = "bold",size = rel(1)),
axis.title.y = element_text(angle=90,vjust =2),
axis.title.x = element_text(vjust = -0.2),
axis.text = element_text(),
axis.line = element_line(colour="black"),
axis.ticks = element_line(),
panel.grid.major = element_line(colour="#f0f0f0"),
panel.grid.minor = element_blank(),
legend.key = element_rect(colour = NA),
legend.position = "bottom",
legend.direction = "horizontal",
legend.key.size= unit(0.2, "cm"),
legend.margin = unit(0, "cm"),
legend.title = element_text(face="italic"),
plot.margin=unit(c(10,5,5,5),"mm"),
strip.background=element_rect(colour="#f0f0f0",fill="#f0f0f0"),
strip.text = element_text(face="bold"),
plot.subtitle = element_text(hjust = 0.5)
))
}
create_dt<-function(x){
DT::datatable(x,
extensions = 'Buttons',
options = list(dom='Blfrtip',
buttons=c('copy', 'csv', 'excel','pdf', 'print'),
lengthMenu=list(c(10,25,50,-1),
c(10,25,50,'All'))))
}
query <- GDCquery(project = "TCGA-STAD",
data.category = "Gene expression",
data.type = "Gene expression quantification",
platform = "Illumina HiSeq",
file.type = "results",
legacy = TRUE,
sample.type = c("Primary Tumor"))
GDCdownload(query)
stad.exp<-GDCprepare(query,
save = TRUE,
summarizedExperiment = TRUE,
save.filename = "STADIllumina_HiSeq.rda")
##
| | 0%
| |0.2409639% ~12 s remaining
| |0.4819277% ~8 s remaining
| |0.7228916% ~8 s remaining
| |0.9638554% ~7 s remaining
| |1.204819% ~7 s remaining
| |1.445783% ~7 s remaining
| |1.686747% ~7 s remaining
|= |1.927711% ~8 s remaining
|= |2.168675% ~8 s remaining
|= |2.409639% ~7 s remaining
|= |2.650602% ~7 s remaining
|= |2.891566% ~7 s remaining
|= |3.13253% ~7 s remaining
|= |3.373494% ~28 s remaining
|= |3.614458% ~26 s remaining
|== |3.855422% ~25 s remaining
|== |4.096386% ~24 s remaining
|== |4.337349% ~23 s remaining
|== |4.578313% ~22 s remaining
|== |4.819277% ~21 s remaining
|== |5.060241% ~20 s remaining
|== |5.301205% ~20 s remaining
|== |5.542169% ~19 s remaining
|=== |5.783133% ~19 s remaining
|=== |6.024096% ~18 s remaining
|=== |6.26506% ~18 s remaining
|=== |6.506024% ~17 s remaining
|=== |6.746988% ~17 s remaining
|=== |6.987952% ~16 s remaining
|=== |7.228916% ~16 s remaining
|=== |7.46988% ~16 s remaining
|==== |7.710843% ~15 s remaining
|==== |7.951807% ~15 s remaining
|==== |8.192771% ~15 s remaining
|==== |8.433735% ~14 s remaining
|==== |8.674699% ~14 s remaining
|==== |8.915663% ~14 s remaining
|==== |9.156627% ~14 s remaining
|==== |9.39759% ~13 s remaining
|===== |9.638554% ~13 s remaining
|===== |9.879518% ~13 s remaining
|===== |10.12048% ~13 s remaining
|===== |10.36145% ~13 s remaining
|===== |10.60241% ~18 s remaining
|===== |10.84337% ~18 s remaining
|===== |11.08434% ~18 s remaining
|===== |11.3253% ~17 s remaining
|====== |11.56627% ~17 s remaining
|====== |11.80723% ~17 s remaining
|====== |12.04819% ~17 s remaining
|====== |12.28916% ~16 s remaining
|====== |12.53012% ~16 s remaining
|====== |12.77108% ~16 s remaining
|====== |13.01205% ~16 s remaining
|====== |13.25301% ~16 s remaining
|======= |13.49398% ~15 s remaining
|======= |13.73494% ~15 s remaining
|======= |13.9759% ~15 s remaining
|======= |14.21687% ~15 s remaining
|======= |14.45783% ~15 s remaining
|======= |14.6988% ~14 s remaining
|======= |14.93976% ~14 s remaining
|======= |15.18072% ~14 s remaining
|======== |15.42169% ~14 s remaining
|======== |15.66265% ~14 s remaining
|======== |15.90361% ~14 s remaining
|======== |16.14458% ~13 s remaining
|======== |16.38554% ~13 s remaining
|======== |16.62651% ~13 s remaining
|======== |16.86747% ~13 s remaining
|======== |17.10843% ~13 s remaining
|========= |17.3494% ~13 s remaining
|========= |17.59036% ~13 s remaining
|========= |17.83133% ~12 s remaining
|========= |18.07229% ~12 s remaining
|========= |18.31325% ~12 s remaining
|========= |18.55422% ~12 s remaining
|========= |18.79518% ~12 s remaining
|========= |19.03614% ~12 s remaining
|========== |19.27711% ~15 s remaining
|========== |19.51807% ~14 s remaining
|========== |19.75904% ~14 s remaining
|========== | 20% ~14 s remaining
|========== |20.24096% ~14 s remaining
|========== |20.48193% ~14 s remaining
|========== |20.72289% ~14 s remaining
|========== |20.96386% ~14 s remaining
|=========== |21.20482% ~14 s remaining
|=========== |21.44578% ~13 s remaining
|=========== |21.68675% ~13 s remaining
|=========== |21.92771% ~13 s remaining
|=========== |22.16867% ~13 s remaining
|=========== |22.40964% ~13 s remaining
|=========== |22.6506% ~13 s remaining
|=========== |22.89157% ~13 s remaining
|============ |23.13253% ~13 s remaining
|============ |23.37349% ~12 s remaining
|============ |23.61446% ~12 s remaining
|============ |23.85542% ~12 s remaining
|============ |24.09639% ~12 s remaining
|============ |24.33735% ~12 s remaining
|============ |24.57831% ~12 s remaining
|============ |24.81928% ~12 s remaining
|============= |25.06024% ~12 s remaining
|============= |25.3012% ~12 s remaining
|============= |25.54217% ~12 s remaining
|============= |25.78313% ~11 s remaining
|============= |26.0241% ~11 s remaining
|============= |26.26506% ~11 s remaining
|============= |26.50602% ~11 s remaining
|============= |26.74699% ~11 s remaining
|============== |26.98795% ~11 s remaining
|============== |27.22892% ~11 s remaining
|============== |27.46988% ~11 s remaining
|============== |27.71084% ~11 s remaining
|============== |27.95181% ~11 s remaining
|============== |28.19277% ~11 s remaining
|============== |28.43373% ~10 s remaining
|============== |28.6747% ~10 s remaining
|=============== |28.91566% ~10 s remaining
|=============== |29.15663% ~10 s remaining
|=============== |29.39759% ~10 s remaining
|=============== |29.63855% ~12 s remaining
|=============== |29.87952% ~12 s remaining
|=============== |30.12048% ~12 s remaining
|=============== |30.36145% ~12 s remaining
|=============== |30.60241% ~11 s remaining
|================ |30.84337% ~11 s remaining
|================ |31.08434% ~11 s remaining
|================ |31.3253% ~11 s remaining
|================ |31.56627% ~11 s remaining
|================ |31.80723% ~11 s remaining
|================ |32.04819% ~11 s remaining
|================ |32.28916% ~11 s remaining
|================ |32.53012% ~11 s remaining
|================= |32.77108% ~11 s remaining
|================= |33.01205% ~11 s remaining
|================= |33.25301% ~10 s remaining
|================= |33.49398% ~10 s remaining
|================= |33.73494% ~10 s remaining
|================= |33.9759% ~10 s remaining
|================= |34.21687% ~10 s remaining
|================= |34.45783% ~10 s remaining
|================== |34.6988% ~10 s remaining
|================== |34.93976% ~10 s remaining
|================== |35.18072% ~10 s remaining
|================== |35.42169% ~10 s remaining
|================== |35.66265% ~10 s remaining
|================== |35.90361% ~10 s remaining
|================== |36.14458% ~10 s remaining
|================== |36.38554% ~10 s remaining
|=================== |36.62651% ~9 s remaining
|=================== |36.86747% ~9 s remaining
|=================== |37.10843% ~9 s remaining
|=================== |37.3494% ~9 s remaining
|=================== |37.59036% ~9 s remaining
|=================== |37.83133% ~9 s remaining
|=================== |38.07229% ~9 s remaining
|=================== |38.31325% ~9 s remaining
|==================== |38.55422% ~9 s remaining
|==================== |38.79518% ~9 s remaining
|==================== |39.03614% ~9 s remaining
|==================== |39.27711% ~9 s remaining
|==================== |39.51807% ~9 s remaining
|==================== |39.75904% ~9 s remaining
|==================== | 40% ~9 s remaining
|==================== |40.24096% ~9 s remaining
|===================== |40.48193% ~8 s remaining
|===================== |40.72289% ~8 s remaining
|===================== |40.96386% ~8 s remaining
|===================== |41.20482% ~8 s remaining
|===================== |41.44578% ~8 s remaining
|===================== |41.68675% ~8 s remaining
|===================== |41.92771% ~9 s remaining
|===================== |42.16867% ~9 s remaining
|====================== |42.40964% ~9 s remaining
|====================== |42.6506% ~9 s remaining
|====================== |42.89157% ~9 s remaining
|====================== |43.13253% ~9 s remaining
|====================== |43.37349% ~9 s remaining
|====================== |43.61446% ~9 s remaining
|====================== |43.85542% ~9 s remaining
|====================== |44.09639% ~9 s remaining
|======================= |44.33735% ~8 s remaining
|======================= |44.57831% ~8 s remaining
|======================= |44.81928% ~8 s remaining
|======================= |45.06024% ~8 s remaining
|======================= |45.3012% ~8 s remaining
|======================= |45.54217% ~8 s remaining
|======================= |45.78313% ~8 s remaining
|======================= |46.0241% ~8 s remaining
|======================== |46.26506% ~8 s remaining
|======================== |46.50602% ~8 s remaining
|======================== |46.74699% ~8 s remaining
|======================== |46.98795% ~8 s remaining
|======================== |47.22892% ~8 s remaining
|======================== |47.46988% ~8 s remaining
|======================== |47.71084% ~8 s remaining
|======================== |47.95181% ~8 s remaining
|========================= |48.19277% ~8 s remaining
|========================= |48.43373% ~7 s remaining
|========================= |48.6747% ~7 s remaining
|========================= |48.91566% ~7 s remaining
|========================= |49.15663% ~7 s remaining
|========================= |49.39759% ~7 s remaining
|========================= |49.63855% ~7 s remaining
|========================= |49.87952% ~7 s remaining
|========================== |50.12048% ~7 s remaining
|========================== |50.36145% ~7 s remaining
|========================== |50.60241% ~7 s remaining
|========================== |50.84337% ~7 s remaining
|========================== |51.08434% ~7 s remaining
|========================== |51.3253% ~7 s remaining
|========================== |51.56627% ~7 s remaining
|========================== |51.80723% ~7 s remaining
|=========================== |52.04819% ~7 s remaining
|=========================== |52.28916% ~7 s remaining
|=========================== |52.53012% ~7 s remaining
|=========================== |52.77108% ~7 s remaining
|=========================== |53.01205% ~7 s remaining
|=========================== |53.25301% ~6 s remaining
|=========================== |53.49398% ~6 s remaining
|=========================== |53.73494% ~6 s remaining
|============================ |53.9759% ~6 s remaining
|============================ |54.21687% ~6 s remaining
|============================ |54.45783% ~6 s remaining
|============================ |54.6988% ~6 s remaining
|============================ |54.93976% ~6 s remaining
|============================ |55.18072% ~6 s remaining
|============================ |55.42169% ~6 s remaining
|============================ |55.66265% ~6 s remaining
|============================= |55.90361% ~6 s remaining
|============================= |56.14458% ~6 s remaining
|============================= |56.38554% ~6 s remaining
|============================= |56.62651% ~6 s remaining
|============================= |56.86747% ~6 s remaining
|============================= |57.10843% ~6 s remaining
|============================= |57.3494% ~6 s remaining
|============================= |57.59036% ~6 s remaining
|============================== |57.83133% ~6 s remaining
|============================== |58.07229% ~6 s remaining
|============================== |58.31325% ~6 s remaining
|============================== |58.55422% ~6 s remaining
|============================== |58.79518% ~6 s remaining
|============================== |59.03614% ~6 s remaining
|============================== |59.27711% ~6 s remaining
|============================== |59.51807% ~6 s remaining
|=============================== |59.75904% ~6 s remaining
|=============================== | 60% ~6 s remaining
|=============================== |60.24096% ~6 s remaining
|=============================== |60.48193% ~6 s remaining
|=============================== |60.72289% ~6 s remaining
|=============================== |60.96386% ~6 s remaining
|=============================== |61.20482% ~6 s remaining
|=============================== |61.44578% ~5 s remaining
|================================ |61.68675% ~5 s remaining
|================================ |61.92771% ~5 s remaining
|================================ |62.16867% ~5 s remaining
|================================ |62.40964% ~5 s remaining
|================================ |62.6506% ~5 s remaining
|================================ |62.89157% ~5 s remaining
|================================ |63.13253% ~5 s remaining
|================================ |63.37349% ~5 s remaining
|================================= |63.61446% ~5 s remaining
|================================= |63.85542% ~5 s remaining
|================================= |64.09639% ~5 s remaining
|================================= |64.33735% ~5 s remaining
|================================= |64.57831% ~5 s remaining
|================================= |64.81928% ~5 s remaining
|================================= |65.06024% ~5 s remaining
|================================= |65.3012% ~5 s remaining
|================================== |65.54217% ~5 s remaining
|================================== |65.78313% ~5 s remaining
|================================== |66.0241% ~5 s remaining
|================================== |66.26506% ~5 s remaining
|================================== |66.50602% ~5 s remaining
|================================== |66.74699% ~5 s remaining
|================================== |66.98795% ~5 s remaining
|================================== |67.22892% ~4 s remaining
|=================================== |67.46988% ~4 s remaining
|=================================== |67.71084% ~4 s remaining
|=================================== |67.95181% ~4 s remaining
|=================================== |68.19277% ~4 s remaining
|=================================== |68.43373% ~4 s remaining
|=================================== |68.6747% ~4 s remaining
|=================================== |68.91566% ~4 s remaining
|=================================== |69.15663% ~4 s remaining
|==================================== |69.39759% ~4 s remaining
|==================================== |69.63855% ~4 s remaining
|==================================== |69.87952% ~4 s remaining
|==================================== |70.12048% ~4 s remaining
|==================================== |70.36145% ~4 s remaining
|==================================== |70.60241% ~4 s remaining
|==================================== |70.84337% ~4 s remaining
|==================================== |71.08434% ~4 s remaining
|===================================== |71.3253% ~4 s remaining
|===================================== |71.56627% ~4 s remaining
|===================================== |71.80723% ~4 s remaining
|===================================== |72.04819% ~4 s remaining
|===================================== |72.28916% ~4 s remaining
|===================================== |72.53012% ~4 s remaining
|===================================== |72.77108% ~4 s remaining
|===================================== |73.01205% ~4 s remaining
|====================================== |73.25301% ~4 s remaining
|====================================== |73.49398% ~3 s remaining
|====================================== |73.73494% ~3 s remaining
|====================================== |73.9759% ~3 s remaining
|====================================== |74.21687% ~3 s remaining
|====================================== |74.45783% ~4 s remaining
|====================================== |74.6988% ~4 s remaining
|====================================== |74.93976% ~4 s remaining
|======================================= |75.18072% ~3 s remaining
|======================================= |75.42169% ~3 s remaining
|======================================= |75.66265% ~3 s remaining
|======================================= |75.90361% ~3 s remaining
|======================================= |76.14458% ~3 s remaining
|======================================= |76.38554% ~3 s remaining
|======================================= |76.62651% ~3 s remaining
|======================================= |76.86747% ~3 s remaining
|======================================== |77.10843% ~3 s remaining
|======================================== |77.3494% ~3 s remaining
|======================================== |77.59036% ~3 s remaining
|======================================== |77.83133% ~3 s remaining
|======================================== |78.07229% ~3 s remaining
|======================================== |78.31325% ~3 s remaining
|======================================== |78.55422% ~3 s remaining
|======================================== |78.79518% ~3 s remaining
|========================================= |79.03614% ~3 s remaining
|========================================= |79.27711% ~3 s remaining
|========================================= |79.51807% ~3 s remaining
|========================================= |79.75904% ~3 s remaining
|========================================= | 80% ~3 s remaining
|========================================= |80.24096% ~3 s remaining
|========================================= |80.48193% ~3 s remaining
|========================================= |80.72289% ~3 s remaining
|========================================== |80.96386% ~3 s remaining
|========================================== |81.20482% ~3 s remaining
|========================================== |81.44578% ~3 s remaining
|========================================== |81.68675% ~2 s remaining
|========================================== |81.92771% ~2 s remaining
|========================================== |82.16867% ~2 s remaining
|========================================== |82.40964% ~2 s remaining
|========================================== |82.6506% ~2 s remaining
|=========================================== |82.89157% ~2 s remaining
|=========================================== |83.13253% ~2 s remaining
|=========================================== |83.37349% ~2 s remaining
|=========================================== |83.61446% ~2 s remaining
|=========================================== |83.85542% ~2 s remaining
|=========================================== |84.09639% ~2 s remaining
|=========================================== |84.33735% ~2 s remaining
|=========================================== |84.57831% ~2 s remaining
|============================================ |84.81928% ~2 s remaining
|============================================ |85.06024% ~2 s remaining
|============================================ |85.3012% ~2 s remaining
|============================================ |85.54217% ~2 s remaining
|============================================ |85.78313% ~2 s remaining
|============================================ |86.0241% ~2 s remaining
|============================================ |86.26506% ~2 s remaining
|============================================ |86.50602% ~2 s remaining
|============================================= |86.74699% ~2 s remaining
|============================================= |86.98795% ~2 s remaining
|============================================= |87.22892% ~2 s remaining
|============================================= |87.46988% ~2 s remaining
|============================================= |87.71084% ~2 s remaining
|============================================= |87.95181% ~2 s remaining
|============================================= |88.19277% ~2 s remaining
|============================================= |88.43373% ~2 s remaining
|============================================== |88.6747% ~1 s remaining
|============================================== |88.91566% ~1 s remaining
|============================================== |89.15663% ~1 s remaining
|============================================== |89.39759% ~1 s remaining
|============================================== |89.63855% ~1 s remaining
|============================================== |89.87952% ~1 s remaining
|============================================== |90.12048% ~1 s remaining
|============================================== |90.36145% ~1 s remaining
|=============================================== |90.60241% ~1 s remaining
|=============================================== |90.84337% ~1 s remaining
|=============================================== |91.08434% ~1 s remaining
|=============================================== |91.3253% ~1 s remaining
|=============================================== |91.56627% ~1 s remaining
|=============================================== |91.80723% ~1 s remaining
|=============================================== |92.04819% ~1 s remaining
|=============================================== |92.28916% ~1 s remaining
|================================================ |92.53012% ~1 s remaining
|================================================ |92.77108% ~1 s remaining
|================================================ |93.01205% ~1 s remaining
|================================================ |93.25301% ~1 s remaining
|================================================ |93.49398% ~1 s remaining
|================================================ |93.73494% ~1 s remaining
|================================================ |93.9759% ~1 s remaining
|================================================ |94.21687% ~1 s remaining
|================================================= |94.45783% ~1 s remaining
|================================================= |94.6988% ~1 s remaining
|================================================= |94.93976% ~1 s remaining
|================================================= |95.18072% ~1 s remaining
|================================================= |95.42169% ~1 s remaining
|================================================= |95.66265% ~1 s remaining
|================================================= |95.90361% ~1 s remaining
|================================================= |96.14458% ~1 s remaining
|================================================== |96.38554% ~0 s remaining
|================================================== |96.62651% ~0 s remaining
|================================================== |96.86747% ~0 s remaining
|================================================== |97.10843% ~0 s remaining
|================================================== |97.3494% ~0 s remaining
|================================================== |97.59036% ~0 s remaining
|================================================== |97.83133% ~0 s remaining
|================================================== |98.07229% ~0 s remaining
|=================================================== |98.31325% ~0 s remaining
|=================================================== |98.55422% ~0 s remaining
|=================================================== |98.79518% ~0 s remaining
|=================================================== |99.03614% ~0 s remaining
|=================================================== |99.27711% ~0 s remaining
|=================================================== |99.51807% ~0 s remaining
|=================================================== |99.75904% ~0 s remaining
|====================================================|100% ~0 s remaining
|====================================================|100% Completed after 13 s
head(stad.exp)
## class: RangedSummarizedExperiment
## dim: 6 415
## metadata(1): data_release
## assays(2): raw_count scaled_estimate
## rownames(6): A1BG|1 A2M|2 ... SERPINA3|12 AADAC|13
## rowData names(4): gene_id entrezgene ensembl_gene_id
## transcript_id.transcript_id_TCGA-CD-8536-01A-11R-2343-13
## colnames(415): TCGA-CD-8536-01A-11R-2343-13
## TCGA-BR-8077-01A-11R-2343-13 ... TCGA-VQ-A8PQ-01A-11R-A414-31
## TCGA-CD-8535-01A-11R-2343-13
## colData names(109): barcode patient ... paper_CIMP.Category
## paper_stringAsFactor
rse <- get(load("STADIllumina_HiSeq.rda"))
dataClin_STAD <- GDCquery_clinic("TCGA-STAD", "Clinical")
create_dt(dataClin_STAD)
dataPrep_STAD<-TCGAanalyze_Preprocessing(rse,
cor.cut = .5,
datatype = "raw_count",
filename = "STAD_IlluminaHiSeq_RNASeqV2.png")
# normalization of genes
dataNorm<-TCGAanalyze_Normalization(tabDF = dataPrep_STAD,geneInfo = geneInfo,method = "gcContent")
dim(dataNorm)
## [1] 19866 415
# quantile filter of genes
dataFilt <- TCGAanalyze_Filtering(tabDF = dataNorm,
method = "quantile",
qnt.cut = 0.25)
dim(dataFilt)
## [1] 14899 415
#check clinical
rse$age_at_index
## [1] 74 58 54 53 53 67 56 59 70 78 75 86 59 81 69 78 75 70 71 67 41 82 56 53 66
## [26] 60 62 57 63 78 76 63 78 63 67 75 53 59 74 73 84 65 75 68 57 65 58 83 64 76
## [51] 72 76 64 55 64 72 62 61 73 63 66 62 45 87 68 62 70 49 69 62 45 69 69 54 68
## [76] 49 80 64 69 82 75 66 49 69 57 39 59 68 82 77 49 70 76 72 51 66 60 65 47 59
## [101] 79 68 69 79 62 52 58 72 71 51 51 72 70 69 63 72 67 83 50 51 78 58 62 70 50
## [126] 54 60 78 67 76 74 70 71 NA 72 58 57 60 70 71 61 71 79 76 73 46 77 62 71 54
## [151] 63 68 53 62 65 53 76 66 75 58 67 70 72 70 43 53 57 79 71 44 58 51 60 69 74
## [176] 48 58 78 81 72 86 90 51 55 56 65 58 54 86 48 68 52 80 71 79 74 75 76 66 69
## [201] 57 76 65 70 69 70 69 74 70 79 49 78 67 54 68 66 41 70 60 68 NA 72 71 63 65
## [226] 64 75 74 73 77 58 61 66 57 69 72 84 68 71 68 61 75 63 62 63 61 56 61 67 56
## [251] 68 57 80 58 77 64 56 72 56 56 73 69 81 78 42 90 59 78 63 79 59 51 74 73 60
## [276] NA 80 73 77 67 66 68 70 90 60 68 68 75 70 72 82 35 84 80 34 74 65 57 56 65
## [301] 58 69 76 72 90 68 72 57 64 66 74 79 48 70 54 65 78 72 67 55 76 53 72 52 67
## [326] 45 83 57 59 67 55 79 43 68 79 69 66 74 70 71 72 45 55 58 63 73 78 67 72 71
## [351] 59 45 66 72 74 73 59 64 61 58 45 56 59 58 78 57 69 51 30 68 75 70 53 65 NA
## [376] 69 52 51 51 74 84 74 NA 70 52 71 70 77 62 48 61 60 46 43 71 61 85 77 75 60
## [401] 80 58 70 63 81 77 63 68 58 51 56 90 44 50 59
rse$definition
## [1] "Primary solid Tumor" "Primary solid Tumor" "Primary solid Tumor"
## [4] "Primary solid Tumor" "Primary solid Tumor" "Primary solid Tumor"
## [7] "Primary solid Tumor" "Primary solid Tumor" "Primary solid Tumor"
## [10] "Primary solid Tumor" "Primary solid Tumor" "Primary solid Tumor"
## [13] "Primary solid Tumor" "Primary solid Tumor" "Primary solid Tumor"
## [16] "Primary solid Tumor" "Primary solid Tumor" "Primary solid Tumor"
## [19] "Primary solid Tumor" "Primary solid Tumor" "Primary solid Tumor"
## [22] "Primary solid Tumor" "Primary solid Tumor" "Primary solid Tumor"
## [25] "Primary solid Tumor" "Primary solid Tumor" "Primary solid Tumor"
## [28] "Primary solid Tumor" "Primary solid Tumor" "Primary solid Tumor"
## [31] "Primary solid Tumor" "Primary solid Tumor" "Primary solid Tumor"
## [34] "Primary solid Tumor" "Primary solid Tumor" "Primary solid Tumor"
## [37] "Primary solid Tumor" "Primary solid Tumor" "Primary solid Tumor"
## [40] "Primary solid Tumor" "Primary solid Tumor" "Primary solid Tumor"
## [43] "Primary solid Tumor" "Primary solid Tumor" "Primary solid Tumor"
## [46] "Primary solid Tumor" "Primary solid Tumor" "Primary solid Tumor"
## [49] "Primary solid Tumor" "Primary solid Tumor" "Primary solid Tumor"
## [52] "Primary solid Tumor" "Primary solid Tumor" "Primary solid Tumor"
## [55] "Primary solid Tumor" "Primary solid Tumor" "Primary solid Tumor"
## [58] "Primary solid Tumor" "Primary solid Tumor" "Primary solid Tumor"
## [61] "Primary solid Tumor" "Primary solid Tumor" "Primary solid Tumor"
## [64] "Primary solid Tumor" "Primary solid Tumor" "Primary solid Tumor"
## [67] "Primary solid Tumor" "Primary solid Tumor" "Primary solid Tumor"
## [70] "Primary solid Tumor" "Primary solid Tumor" "Primary solid Tumor"
## [73] "Primary solid Tumor" "Primary solid Tumor" "Primary solid Tumor"
## [76] "Primary solid Tumor" "Primary solid Tumor" "Primary solid Tumor"
## [79] "Primary solid Tumor" "Primary solid Tumor" "Primary solid Tumor"
## [82] "Primary solid Tumor" "Primary solid Tumor" "Primary solid Tumor"
## [85] "Primary solid Tumor" "Primary solid Tumor" "Primary solid Tumor"
## [88] "Primary solid Tumor" "Primary solid Tumor" "Primary solid Tumor"
## [91] "Primary solid Tumor" "Primary solid Tumor" "Primary solid Tumor"
## [94] "Primary solid Tumor" "Primary solid Tumor" "Primary solid Tumor"
## [97] "Primary solid Tumor" "Primary solid Tumor" "Primary solid Tumor"
## [100] "Primary solid Tumor" "Primary solid Tumor" "Primary solid Tumor"
## [103] "Primary solid Tumor" "Primary solid Tumor" "Primary solid Tumor"
## [106] "Primary solid Tumor" "Primary solid Tumor" "Primary solid Tumor"
## [109] "Primary solid Tumor" "Primary solid Tumor" "Primary solid Tumor"
## [112] "Primary solid Tumor" "Primary solid Tumor" "Primary solid Tumor"
## [115] "Primary solid Tumor" "Primary solid Tumor" "Primary solid Tumor"
## [118] "Primary solid Tumor" "Primary solid Tumor" "Primary solid Tumor"
## [121] "Primary solid Tumor" "Primary solid Tumor" "Primary solid Tumor"
## [124] "Primary solid Tumor" "Primary solid Tumor" "Primary solid Tumor"
## [127] "Primary solid Tumor" "Primary solid Tumor" "Primary solid Tumor"
## [130] "Primary solid Tumor" "Primary solid Tumor" "Primary solid Tumor"
## [133] "Primary solid Tumor" "Primary solid Tumor" "Primary solid Tumor"
## [136] "Primary solid Tumor" "Primary solid Tumor" "Primary solid Tumor"
## [139] "Primary solid Tumor" "Primary solid Tumor" "Primary solid Tumor"
## [142] "Primary solid Tumor" "Primary solid Tumor" "Primary solid Tumor"
## [145] "Primary solid Tumor" "Primary solid Tumor" "Primary solid Tumor"
## [148] "Primary solid Tumor" "Primary solid Tumor" "Primary solid Tumor"
## [151] "Primary solid Tumor" "Primary solid Tumor" "Primary solid Tumor"
## [154] "Primary solid Tumor" "Primary solid Tumor" "Primary solid Tumor"
## [157] "Primary solid Tumor" "Primary solid Tumor" "Primary solid Tumor"
## [160] "Primary solid Tumor" "Primary solid Tumor" "Primary solid Tumor"
## [163] "Primary solid Tumor" "Primary solid Tumor" "Primary solid Tumor"
## [166] "Primary solid Tumor" "Primary solid Tumor" "Primary solid Tumor"
## [169] "Primary solid Tumor" "Primary solid Tumor" "Primary solid Tumor"
## [172] "Primary solid Tumor" "Primary solid Tumor" "Primary solid Tumor"
## [175] "Primary solid Tumor" "Primary solid Tumor" "Primary solid Tumor"
## [178] "Primary solid Tumor" "Primary solid Tumor" "Primary solid Tumor"
## [181] "Primary solid Tumor" "Primary solid Tumor" "Primary solid Tumor"
## [184] "Primary solid Tumor" "Primary solid Tumor" "Primary solid Tumor"
## [187] "Primary solid Tumor" "Primary solid Tumor" "Primary solid Tumor"
## [190] "Primary solid Tumor" "Primary solid Tumor" "Primary solid Tumor"
## [193] "Primary solid Tumor" "Primary solid Tumor" "Primary solid Tumor"
## [196] "Primary solid Tumor" "Primary solid Tumor" "Primary solid Tumor"
## [199] "Primary solid Tumor" "Primary solid Tumor" "Primary solid Tumor"
## [202] "Primary solid Tumor" "Primary solid Tumor" "Primary solid Tumor"
## [205] "Primary solid Tumor" "Primary solid Tumor" "Primary solid Tumor"
## [208] "Primary solid Tumor" "Primary solid Tumor" "Primary solid Tumor"
## [211] "Primary solid Tumor" "Primary solid Tumor" "Primary solid Tumor"
## [214] "Primary solid Tumor" "Primary solid Tumor" "Primary solid Tumor"
## [217] "Primary solid Tumor" "Primary solid Tumor" "Primary solid Tumor"
## [220] "Primary solid Tumor" "Primary solid Tumor" "Primary solid Tumor"
## [223] "Primary solid Tumor" "Primary solid Tumor" "Primary solid Tumor"
## [226] "Primary solid Tumor" "Primary solid Tumor" "Primary solid Tumor"
## [229] "Primary solid Tumor" "Primary solid Tumor" "Primary solid Tumor"
## [232] "Primary solid Tumor" "Primary solid Tumor" "Primary solid Tumor"
## [235] "Primary solid Tumor" "Primary solid Tumor" "Primary solid Tumor"
## [238] "Primary solid Tumor" "Primary solid Tumor" "Primary solid Tumor"
## [241] "Primary solid Tumor" "Primary solid Tumor" "Primary solid Tumor"
## [244] "Primary solid Tumor" "Primary solid Tumor" "Primary solid Tumor"
## [247] "Primary solid Tumor" "Primary solid Tumor" "Primary solid Tumor"
## [250] "Primary solid Tumor" "Primary solid Tumor" "Primary solid Tumor"
## [253] "Primary solid Tumor" "Primary solid Tumor" "Primary solid Tumor"
## [256] "Primary solid Tumor" "Primary solid Tumor" "Primary solid Tumor"
## [259] "Primary solid Tumor" "Primary solid Tumor" "Primary solid Tumor"
## [262] "Primary solid Tumor" "Primary solid Tumor" "Primary solid Tumor"
## [265] "Primary solid Tumor" "Primary solid Tumor" "Primary solid Tumor"
## [268] "Primary solid Tumor" "Primary solid Tumor" "Primary solid Tumor"
## [271] "Primary solid Tumor" "Primary solid Tumor" "Primary solid Tumor"
## [274] "Primary solid Tumor" "Primary solid Tumor" "Primary solid Tumor"
## [277] "Primary solid Tumor" "Primary solid Tumor" "Primary solid Tumor"
## [280] "Primary solid Tumor" "Primary solid Tumor" "Primary solid Tumor"
## [283] "Primary solid Tumor" "Primary solid Tumor" "Primary solid Tumor"
## [286] "Primary solid Tumor" "Primary solid Tumor" "Primary solid Tumor"
## [289] "Primary solid Tumor" "Primary solid Tumor" "Primary solid Tumor"
## [292] "Primary solid Tumor" "Primary solid Tumor" "Primary solid Tumor"
## [295] "Primary solid Tumor" "Primary solid Tumor" "Primary solid Tumor"
## [298] "Primary solid Tumor" "Primary solid Tumor" "Primary solid Tumor"
## [301] "Primary solid Tumor" "Primary solid Tumor" "Primary solid Tumor"
## [304] "Primary solid Tumor" "Primary solid Tumor" "Primary solid Tumor"
## [307] "Primary solid Tumor" "Primary solid Tumor" "Primary solid Tumor"
## [310] "Primary solid Tumor" "Primary solid Tumor" "Primary solid Tumor"
## [313] "Primary solid Tumor" "Primary solid Tumor" "Primary solid Tumor"
## [316] "Primary solid Tumor" "Primary solid Tumor" "Primary solid Tumor"
## [319] "Primary solid Tumor" "Primary solid Tumor" "Primary solid Tumor"
## [322] "Primary solid Tumor" "Primary solid Tumor" "Primary solid Tumor"
## [325] "Primary solid Tumor" "Primary solid Tumor" "Primary solid Tumor"
## [328] "Primary solid Tumor" "Primary solid Tumor" "Primary solid Tumor"
## [331] "Primary solid Tumor" "Primary solid Tumor" "Primary solid Tumor"
## [334] "Primary solid Tumor" "Primary solid Tumor" "Primary solid Tumor"
## [337] "Primary solid Tumor" "Primary solid Tumor" "Primary solid Tumor"
## [340] "Primary solid Tumor" "Primary solid Tumor" "Primary solid Tumor"
## [343] "Primary solid Tumor" "Primary solid Tumor" "Primary solid Tumor"
## [346] "Primary solid Tumor" "Primary solid Tumor" "Primary solid Tumor"
## [349] "Primary solid Tumor" "Primary solid Tumor" "Primary solid Tumor"
## [352] "Primary solid Tumor" "Primary solid Tumor" "Primary solid Tumor"
## [355] "Primary solid Tumor" "Primary solid Tumor" "Primary solid Tumor"
## [358] "Primary solid Tumor" "Primary solid Tumor" "Primary solid Tumor"
## [361] "Primary solid Tumor" "Primary solid Tumor" "Primary solid Tumor"
## [364] "Primary solid Tumor" "Primary solid Tumor" "Primary solid Tumor"
## [367] "Primary solid Tumor" "Primary solid Tumor" "Primary solid Tumor"
## [370] "Primary solid Tumor" "Primary solid Tumor" "Primary solid Tumor"
## [373] "Primary solid Tumor" "Primary solid Tumor" "Primary solid Tumor"
## [376] "Primary solid Tumor" "Primary solid Tumor" "Primary solid Tumor"
## [379] "Primary solid Tumor" "Primary solid Tumor" "Primary solid Tumor"
## [382] "Primary solid Tumor" "Primary solid Tumor" "Primary solid Tumor"
## [385] "Primary solid Tumor" "Primary solid Tumor" "Primary solid Tumor"
## [388] "Primary solid Tumor" "Primary solid Tumor" "Primary solid Tumor"
## [391] "Primary solid Tumor" "Primary solid Tumor" "Primary solid Tumor"
## [394] "Primary solid Tumor" "Primary solid Tumor" "Primary solid Tumor"
## [397] "Primary solid Tumor" "Primary solid Tumor" "Primary solid Tumor"
## [400] "Primary solid Tumor" "Primary solid Tumor" "Primary solid Tumor"
## [403] "Primary solid Tumor" "Primary solid Tumor" "Primary solid Tumor"
## [406] "Primary solid Tumor" "Primary solid Tumor" "Primary solid Tumor"
## [409] "Primary solid Tumor" "Primary solid Tumor" "Primary solid Tumor"
## [412] "Primary solid Tumor" "Primary solid Tumor" "Primary solid Tumor"
## [415] "Primary solid Tumor"
rse$days_to_diagnosis
## [1] 0 0 0 0 0 0 0 0 0 0 0 0 0 0 0 0 0 0 0 0 0 0 0 0 0
## [26] 0 0 0 0 0 0 0 0 0 0 0 0 0 0 0 0 0 0 0 0 0 0 0 0 0
## [51] 0 0 0 0 0 0 0 0 0 0 0 0 0 0 0 0 0 0 0 0 0 0 0 0 0
## [76] 0 0 0 0 0 0 0 0 0 0 0 0 0 0 0 0 0 0 0 0 0 0 0 0 0
## [101] 0 0 0 0 0 0 0 0 0 0 0 0 0 0 0 0 0 0 0 0 0 0 0 0 0
## [126] 0 0 0 0 0 0 0 0 NA 0 0 0 0 0 0 0 0 0 0 0 0 0 0 0 0
## [151] 0 0 0 0 0 0 0 0 0 0 0 0 0 0 0 0 0 0 0 0 0 0 0 0 0
## [176] 0 0 0 0 0 0 0 0 0 0 0 0 0 0 0 0 0 0 0 0 0 0 0 0 0
## [201] 0 0 0 0 0 0 0 0 0 0 0 0 0 0 0 0 0 0 0 0 NA 0 0 0 0
## [226] 0 0 0 0 0 0 0 0 0 0 0 0 0 0 0 0 0 0 0 0 0 0 0 0 0
## [251] 0 0 0 0 0 0 0 0 0 0 0 0 0 0 0 0 0 0 0 0 0 0 0 0 0
## [276] NA 0 0 0 0 0 0 0 0 0 0 0 NA 0 0 0 0 0 0 0 0 0 0 0 0
## [301] 0 0 0 0 0 0 0 0 0 0 0 0 0 0 0 0 0 0 0 0 0 0 0 0 0
## [326] 0 0 0 0 0 0 0 0 0 0 0 0 0 0 0 0 0 0 0 0 0 0 0 0 0
## [351] 0 0 0 0 0 0 0 0 0 0 0 0 0 0 0 0 0 0 0 0 0 0 0 0 NA
## [376] 0 0 0 0 0 0 0 NA 0 0 0 0 0 0 0 0 0 0 0 0 0 0 0 0 0
## [401] 0 0 0 0 0 0 0 0 0 0 0 0 0 0 0
rse$ajcc_pathologic_stage
## [1] "Stage II" "Stage IIIB" "Stage IIB" "Stage IIB" "Stage IIIB"
## [6] "Stage IV" "Stage IIIC" "Stage IIB" "Stage IIIC" "Stage IIA"
## [11] "Stage IIIB" "Stage IIIA" "Stage IIIB" "Stage II" "Stage II"
## [16] NA "Stage IIIB" "Stage IIB" NA "Stage IIIB"
## [21] "Stage IV" "Stage II" NA "Stage IIIB" "Stage IIIA"
## [26] "Stage IIIB" "Stage IB" "Stage IIB" "Stage IIIB" "Stage IIIA"
## [31] "Stage IIB" "Stage IIIA" "Stage IIIA" "Stage IB" "Stage IIB"
## [36] "Stage IIIA" "Stage II" "Stage IIIA" "Stage IIIB" "Stage IIIB"
## [41] NA "Stage IIIC" "Stage IA" "Stage IB" "Stage IIA"
## [46] "Stage II" "Stage IIB" "Stage II" "Stage IIB" "Stage IA"
## [51] "Stage III" "Stage IIIB" "Stage IV" "Stage IIIC" "Stage IIA"
## [56] "Stage IIIA" "Stage IIB" "Stage IB" NA NA
## [61] "Stage IIA" "Stage IIIB" "Stage IV" NA "Stage IIIB"
## [66] "Stage IIIC" "Stage IIIC" "Stage IV" "Stage II" "Stage II"
## [71] "Stage IIIA" "Stage IV" "Stage IIIC" "Stage IIIB" "Stage IIA"
## [76] "Stage IIB" "Stage IIIA" "Stage IV" "Stage IIA" "Stage IB"
## [81] "Stage IIIA" "Stage IIIA" "Stage IV" "Stage IIIC" NA
## [86] "Stage IIIB" "Stage IV" "Stage IIIA" "Stage IIA" "Stage IB"
## [91] "Stage II" "Stage IIIB" "Stage IIIA" "Stage IIB" "Stage II"
## [96] "Stage IV" "Stage II" "Stage IIIA" "Stage IIIB" "Stage IIIB"
## [101] "Stage IB" "Stage IIB" "Stage IIIB" "Stage IA" "Stage IB"
## [106] "Stage II" "Stage IB" "Stage IIIB" "Stage IB" "Stage IIIA"
## [111] "Stage IB" "Stage IIIC" "Stage IIB" "Stage IIIC" "Stage IV"
## [116] "Stage II" "Stage IIIA" "Stage IIIA" "Stage IIB" "Stage IV"
## [121] "Stage III" NA "Stage IIIB" "Stage IV" "Stage IV"
## [126] "Stage IIA" NA "Stage IIA" "Stage IIA" "Stage IIIA"
## [131] NA "Stage IIIB" "Stage IIB" "Stage IV" "Stage IIB"
## [136] "Stage IIIC" "Stage IB" "Stage IIIC" "Stage IIIB" "Stage IB"
## [141] "Stage IIIB" "Stage IIB" "Stage IIIC" "Stage IIIA" "Stage IA"
## [146] "Stage IIIA" "Stage IIIC" "Stage IIB" "Stage IIB" "Stage IIIB"
## [151] "Stage IA" "Stage IIIB" "Stage IIIA" "Stage IIB" "Stage IV"
## [156] "Stage IIIA" "Stage IV" NA "Stage IV" "Stage IIIB"
## [161] "Stage IIIC" "Stage IIA" "Stage IIIA" "Stage IIIB" "Stage IIIA"
## [166] "Stage IV" "Stage IIB" "Stage IIIC" "Stage IIIB" "Stage IV"
## [171] "Stage IIIA" "Stage IIB" "Stage IIB" "Stage IIIA" "Stage IIB"
## [176] "Stage IIIA" "Stage IIB" "Stage II" "Stage IIIB" "Stage IIIA"
## [181] "Stage IV" "Stage I" "Stage IV" "Stage IIA" "Stage IIIB"
## [186] NA "Stage IIIA" "Stage IB" "Stage IIA" "Stage IB"
## [191] "Stage IIIA" "Stage IIIA" "Stage IIB" "Stage IIIC" "Stage IIA"
## [196] "Stage IA" "Stage IIB" "Stage IIIB" "Stage IIIA" "Stage IIB"
## [201] "Stage IV" "Stage IB" "Stage IV" "Stage IIA" "Stage IIIB"
## [206] "Stage III" "Stage II" "Stage IIIC" "Stage IB" "Stage IIB"
## [211] "Stage IB" "Stage IIIB" "Stage IIIB" "Stage IIA" "Stage IIIA"
## [216] "Stage IIIC" "Stage II" "Stage IV" "Stage IIIC" "Stage IB"
## [221] "Stage IIIA" NA "Stage IB" "Stage IIIB" "Stage IIIA"
## [226] NA "Stage IIIB" "Stage IIB" "Stage IIIB" "Stage IIIC"
## [231] "Stage IV" "Stage IIIA" "Stage IV" "Stage IIA" "Stage IIA"
## [236] "Stage IIIA" "Stage IB" "Stage IIB" "Stage IIIC" "Stage IIIA"
## [241] "Stage II" NA "Stage IIIA" "Stage IIIA" "Stage IIIC"
## [246] "Stage IIA" "Stage IIIB" "Stage IIB" "Stage IV" "Stage IIIC"
## [251] "Stage IIIC" "Stage IIIB" "Stage IIA" "Stage IB" "Stage IB"
## [256] "Stage IIA" "Stage IV" "Stage IV" "Stage IV" NA
## [261] "Stage IIIA" "Stage IIIA" "Stage IA" "Stage IIIA" "Stage IIIC"
## [266] "Stage IV" "Stage IV" "Stage II" "Stage II" "Stage IB"
## [271] "Stage IB" "Stage IA" "Stage IIIB" "Stage IIIA" "Stage IIB"
## [276] "Stage IA" "Stage IIIA" "Stage IB" "Stage IA" "Stage IIIA"
## [281] "Stage IIIA" "Stage IV" "Stage IIB" NA "Stage IIB"
## [286] "Stage IIA" "Stage IIIA" "Stage IIIC" "Stage IV" "Stage IIIC"
## [291] "Stage IIIA" "Stage IIIA" NA "Stage IIIA" "Stage IIIA"
## [296] "Stage IIB" NA "Stage IIB" "Stage IIB" "Stage IIIA"
## [301] "Stage IIIA" "Stage II" "Stage IIA" "Stage IIIA" "Stage IIIA"
## [306] "Stage IIA" "Stage IIA" "Stage IIIA" "Stage IIA" "Stage IIB"
## [311] "Stage IIIB" NA "Stage II" "Stage IIIB" "Stage IV"
## [316] "Stage IIA" "Stage II" "Stage IIIB" "Stage IIIC" "Stage IIB"
## [321] "Stage IIIA" "Stage IIIA" "Stage IIIB" "Stage IIB" "Stage IIIC"
## [326] "Stage IIIB" "Stage II" "Stage IIB" "Stage IIIA" "Stage IB"
## [331] "Stage IIA" "Stage IIA" "Stage II" "Stage IIIB" "Stage IIB"
## [336] "Stage IIB" "Stage IV" "Stage IIB" "Stage IIA" "Stage IIB"
## [341] "Stage IB" "Stage IIB" "Stage IIIB" "Stage IIA" "Stage IIB"
## [346] "Stage IIB" "Stage IV" "Stage IA" "Stage IB" "Stage IIIB"
## [351] "Stage IV" "Stage II" "Stage IIIA" "Stage IIIC" NA
## [356] "Stage IIB" NA "Stage IA" "Stage IIIA" "Stage IIIB"
## [361] "Stage I" "Stage IIIA" "Stage IIIC" "Stage IIA" "Stage IIIA"
## [366] "Stage IIIB" "Stage IIA" "Stage IIB" "Stage IIIA" "Stage IB"
## [371] "Stage IA" "Stage IA" "Stage IIA" "Stage IIIA" "Stage II"
## [376] "Stage IB" "Stage IIIC" "Stage II" "Stage IIIB" "Stage IIB"
## [381] "Stage IB" "Stage IIIB" "Stage IB" "Stage IIIC" "Stage IIIC"
## [386] "Stage IIA" "Stage IB" NA "Stage IIA" "Stage IIIB"
## [391] "Stage IV" "Stage IIB" "Stage IIIA" "Stage IIIB" "Stage IB"
## [396] "Stage IIA" "Stage IB" "Stage IB" "Stage IIA" "Stage IB"
## [401] NA "Stage IIIC" "Stage IIB" "Stage IIIA" "Stage IB"
## [406] "Stage IIIC" "Stage IIIA" "Stage IA" "Stage II" "Stage IIB"
## [411] "Stage IIIA" "Stage IA" "Stage IIIB" "Stage IV" "Stage IIIA"
rse$tissue_or_organ_of_origin
## [1] "Fundus of stomach" "Body of stomach"
## [3] "Gastric antrum" "Gastric antrum"
## [5] "Gastric antrum" "Body of stomach"
## [7] "Body of stomach" "Body of stomach"
## [9] "Body of stomach" "Cardia, NOS"
## [11] "Gastric antrum" "Gastric antrum"
## [13] "Gastric antrum" "Gastric antrum"
## [15] "Body of stomach" "Gastric antrum"
## [17] "Gastric antrum" "Body of stomach"
## [19] "Body of stomach" "Body of stomach"
## [21] "Fundus of stomach" "Gastric antrum"
## [23] "Gastric antrum" "Fundus of stomach"
## [25] "Stomach, NOS" "Body of stomach"
## [27] "Body of stomach" "Gastric antrum"
## [29] "Body of stomach" "Gastric antrum"
## [31] "Stomach, NOS" "Cardia, NOS"
## [33] "Fundus of stomach" "Fundus of stomach"
## [35] "Body of stomach" "Cardia, NOS"
## [37] "Gastric antrum" "Cardia, NOS"
## [39] "Cardia, NOS" "Fundus of stomach"
## [41] "Cardia, NOS" "Fundus of stomach"
## [43] "Body of stomach" "Fundus of stomach"
## [45] "Cardia, NOS" "Gastric antrum"
## [47] "Gastric antrum" "Cardia, NOS"
## [49] "Body of stomach" "Cardia, NOS"
## [51] "Fundus of stomach" "Gastric antrum"
## [53] "Cardia, NOS" "Gastric antrum"
## [55] "Cardia, NOS" "Body of stomach"
## [57] "Cardia, NOS" "Gastric antrum"
## [59] "Body of stomach" "Gastric antrum"
## [61] "Stomach, NOS" "Cardia, NOS"
## [63] "Gastric antrum" "Gastric antrum"
## [65] "Cardia, NOS" "Fundus of stomach"
## [67] "Fundus of stomach" "Gastric antrum"
## [69] "Gastric antrum" "Cardia, NOS"
## [71] "Gastric antrum" "Gastric antrum"
## [73] "Body of stomach" "Cardia, NOS"
## [75] "Cardia, NOS" "Gastric antrum"
## [77] "Body of stomach" "Cardia, NOS"
## [79] "Cardia, NOS" "Fundus of stomach"
## [81] "Fundus of stomach" "Fundus of stomach"
## [83] "Body of stomach" "Gastric antrum"
## [85] "Body of stomach" "Gastric antrum"
## [87] "Gastric antrum" "Cardia, NOS"
## [89] "Gastric antrum" "Gastric antrum"
## [91] "Gastric antrum" "Gastric antrum"
## [93] "Body of stomach" "Body of stomach"
## [95] "Gastric antrum" "Cardia, NOS"
## [97] "Body of stomach" "Body of stomach"
## [99] "Gastric antrum" "Body of stomach"
## [101] "Cardia, NOS" "Gastric antrum"
## [103] "Cardia, NOS" "Gastric antrum"
## [105] "Fundus of stomach" "Cardia, NOS"
## [107] "Gastric antrum" "Gastric antrum"
## [109] "Body of stomach" "Fundus of stomach"
## [111] "Body of stomach" "Body of stomach"
## [113] "Gastric antrum" "Body of stomach"
## [115] "Cardia, NOS" "Gastric antrum"
## [117] "Body of stomach" "Body of stomach"
## [119] "Cardia, NOS" "Gastric antrum"
## [121] "Stomach, NOS" "Body of stomach"
## [123] "Gastric antrum" "Gastric antrum"
## [125] "Body of stomach" "Body of stomach"
## [127] "Body of stomach" "Body of stomach"
## [129] "Body of stomach" "Stomach, NOS"
## [131] "Stomach, NOS" "Gastric antrum"
## [133] "Gastric antrum" "Stomach, NOS"
## [135] "Fundus of stomach" "Body of stomach"
## [137] "Stomach, NOS" "Body of stomach"
## [139] "Body of stomach" "Fundus of stomach"
## [141] "Gastric antrum" "Gastric antrum"
## [143] "Gastric antrum" "Gastric antrum"
## [145] "Gastric antrum" "Cardia, NOS"
## [147] "Body of stomach" "Body of stomach"
## [149] "Body of stomach" "Gastric antrum"
## [151] "Cardia, NOS" "Cardia, NOS"
## [153] "Body of stomach" "Cardia, NOS"
## [155] "Gastric antrum" "Cardia, NOS"
## [157] "Body of stomach" "Cardia, NOS"
## [159] "Cardia, NOS" "Cardia, NOS"
## [161] "Gastric antrum" "Gastric antrum"
## [163] "Gastric antrum" "Body of stomach"
## [165] "Gastric antrum" "Body of stomach"
## [167] "Fundus of stomach" "Gastric antrum"
## [169] "Cardia, NOS" "Stomach, NOS"
## [171] "Cardia, NOS" "Body of stomach"
## [173] "Gastric antrum" "Gastric antrum"
## [175] "Cardia, NOS" "Gastric antrum"
## [177] "Gastric antrum" "Cardia, NOS"
## [179] "Body of stomach" "Gastric antrum"
## [181] "Gastric antrum" "Gastric antrum"
## [183] "Cardia, NOS" "Fundus of stomach"
## [185] "Fundus of stomach" "Body of stomach"
## [187] "Gastric antrum" "Body of stomach"
## [189] "Gastric antrum" "Gastric antrum"
## [191] "Body of stomach" "Gastric antrum"
## [193] "Cardia, NOS" "Fundus of stomach"
## [195] "Cardia, NOS" "Cardia, NOS"
## [197] "Cardia, NOS" "Body of stomach"
## [199] "Gastric antrum" "Gastric antrum"
## [201] "Body of stomach" "Fundus of stomach"
## [203] "Gastric antrum" "Fundus of stomach"
## [205] "Gastric antrum" "Body of stomach"
## [207] "Gastric antrum" "Gastric antrum"
## [209] "Lesser curvature of stomach, NOS" "Body of stomach"
## [211] "Gastric antrum" "Cardia, NOS"
## [213] "Gastric antrum" "Body of stomach"
## [215] "Body of stomach" "Body of stomach"
## [217] "Gastric antrum" "Stomach, NOS"
## [219] "Gastric antrum" "Cardia, NOS"
## [221] "Cardia, NOS" "Stomach, NOS"
## [223] "Cardia, NOS" "Fundus of stomach"
## [225] "Cardia, NOS" "Cardia, NOS"
## [227] "Cardia, NOS" "Fundus of stomach"
## [229] "Cardia, NOS" "Fundus of stomach"
## [231] "Gastric antrum" "Fundus of stomach"
## [233] "Body of stomach" "Fundus of stomach"
## [235] "Body of stomach" "Body of stomach"
## [237] "Cardia, NOS" "Cardia, NOS"
## [239] "Gastric antrum" "Cardia, NOS"
## [241] "Gastric antrum" "Cardia, NOS"
## [243] "Gastric antrum" "Gastric antrum"
## [245] "Fundus of stomach" "Gastric antrum"
## [247] "Body of stomach" "Gastric antrum"
## [249] "Gastric antrum" "Cardia, NOS"
## [251] "Fundus of stomach" "Body of stomach"
## [253] "Fundus of stomach" "Cardia, NOS"
## [255] "Cardia, NOS" "Gastric antrum"
## [257] "Gastric antrum" "Stomach, NOS"
## [259] "Cardia, NOS" "Gastric antrum"
## [261] "Gastric antrum" "Gastric antrum"
## [263] "Body of stomach" "Gastric antrum"
## [265] "Fundus of stomach" "Gastric antrum"
## [267] "Cardia, NOS" "Gastric antrum"
## [269] "Cardia, NOS" "Cardia, NOS"
## [271] "Gastric antrum" "Stomach, NOS"
## [273] "Gastric antrum" "Fundus of stomach"
## [275] "Body of stomach" "Body of stomach"
## [277] "Body of stomach" "Gastric antrum"
## [279] "Body of stomach" "Gastric antrum"
## [281] "Cardia, NOS" "Body of stomach"
## [283] "Gastric antrum" "Pylorus"
## [285] "Fundus of stomach" "Cardia, NOS"
## [287] "Body of stomach" "Gastric antrum"
## [289] "Gastric antrum" "Gastric antrum"
## [291] "Gastric antrum" "Cardia, NOS"
## [293] "Cardia, NOS" "Cardia, NOS"
## [295] "Gastric antrum" "Body of stomach"
## [297] "Body of stomach" "Cardia, NOS"
## [299] "Gastric antrum" "Gastric antrum"
## [301] "Cardia, NOS" "Gastric antrum"
## [303] "Cardia, NOS" "Gastric antrum"
## [305] "Body of stomach" "Stomach, NOS"
## [307] "Cardia, NOS" "Gastric antrum"
## [309] "Body of stomach" "Gastric antrum"
## [311] "Gastric antrum" "Gastric antrum"
## [313] "Gastric antrum" "Gastric antrum"
## [315] "Body of stomach" "Body of stomach"
## [317] "Body of stomach" "Gastric antrum"
## [319] "Cardia, NOS" "Fundus of stomach"
## [321] "Body of stomach" "Gastric antrum"
## [323] "Gastric antrum" "Gastric antrum"
## [325] "Gastric antrum" "Gastric antrum"
## [327] "Cardia, NOS" "Body of stomach"
## [329] "Gastric antrum" "Cardia, NOS"
## [331] "Gastric antrum" "Gastric antrum"
## [333] "Stomach, NOS" "Body of stomach"
## [335] "Gastric antrum" "Cardia, NOS"
## [337] "Fundus of stomach" "Body of stomach"
## [339] "Body of stomach" "Gastric antrum"
## [341] "Gastric antrum" "Gastric antrum"
## [343] "Fundus of stomach" "Cardia, NOS"
## [345] "Fundus of stomach" "Cardia, NOS"
## [347] "Gastric antrum" "Body of stomach"
## [349] "Cardia, NOS" "Cardia, NOS"
## [351] "Gastric antrum" "Gastric antrum"
## [353] "Fundus of stomach" "Body of stomach"
## [355] "Gastric antrum" "Gastric antrum"
## [357] "Cardia, NOS" "Cardia, NOS"
## [359] "Cardia, NOS" "Gastric antrum"
## [361] "Cardia, NOS" "Cardia, NOS"
## [363] "Cardia, NOS" "Gastric antrum"
## [365] "Cardia, NOS" "Cardia, NOS"
## [367] "Gastric antrum" "Fundus of stomach"
## [369] "Body of stomach" "Cardia, NOS"
## [371] "Body of stomach" "Cardia, NOS"
## [373] "Cardia, NOS" "Fundus of stomach"
## [375] "Gastric antrum" "Body of stomach"
## [377] "Fundus of stomach" "Fundus of stomach"
## [379] "Stomach, NOS" "Gastric antrum"
## [381] "Fundus of stomach" "Gastric antrum"
## [383] "Stomach, NOS" "Gastric antrum"
## [385] "Cardia, NOS" "Gastric antrum"
## [387] "Body of stomach" "Cardia, NOS"
## [389] "Gastric antrum" "Cardia, NOS"
## [391] "Cardia, NOS" "Gastric antrum"
## [393] "Body of stomach" "Body of stomach"
## [395] "Gastric antrum" "Stomach, NOS"
## [397] "Gastric antrum" "Body of stomach"
## [399] "Body of stomach" "Fundus of stomach"
## [401] "Gastric antrum" "Body of stomach"
## [403] "Body of stomach" "Body of stomach"
## [405] "Cardia, NOS" "Gastric antrum"
## [407] "Gastric antrum" "Body of stomach"
## [409] "Cardia, NOS" "Gastric antrum"
## [411] "Gastric antrum" "Fundus of stomach"
## [413] "Cardia, NOS" "Cardia, NOS"
## [415] "Fundus of stomach"
rse$days_to_last_follow_up
## [1] 378 21 170 725 1133 30 882 399 NA 411 18 600 229 580 1072
## [16] 0 352 900 0 1200 NA 408 46 1236 0 899 356 NA 1000 NA
## [31] 699 402 NA 0 19 582 543 1010 77 500 NA 11 23 NA 378
## [46] 1023 392 2496 344 383 25 427 666 21 1367 820 5 579 0 NA
## [61] 131 11 972 0 NA 65 0 365 485 126 176 NA 0 325 104
## [76] 989 385 198 20 NA 7 383 NA 113 NA 16 NA 17 694 428
## [91] 895 647 881 942 400 1674 12 940 411 564 440 268 356 NA 476
## [106] 3 566 35 NA 288 0 64 431 NA 21 2 523 NA 1106 92
## [121] 0 0 NA 262 21 485 0 1055 NA 0 0 35 342 1918 628
## [136] 225 243 7 641 724 419 237 856 8 NA NA 678 1210 981 212
## [151] 479 NA 376 413 374 376 NA 0 92 NA NA 415 344 3519 375
## [166] NA 511 NA 411 2267 1297 812 1190 1862 29 NA 679 1124 NA 644
## [181] 0 0 1389 337 825 564 2171 1935 371 NA NA 521 572 946 519
## [196] 738 40 NA NA 180 8 754 NA 90 477 NA 280 NA 1765 1145
## [211] NA 422 664 949 NA NA 367 NA 650 613 NA 0 NA 6 156
## [226] 625 838 335 NA 28 183 22 NA 593 416 1132 NA NA NA 47
## [241] 388 0 NA 3 951 912 3720 496 0 1184 280 1319 29 942 12
## [256] 34 1645 NA NA 0 1016 15 1100 NA 675 NA 1138 2 1083 678
## [271] 3540 1964 NA 381 47 1588 0 NA 742 1690 NA NA 819 0 287
## [286] NA 1160 928 NA 22 383 864 158 NA 838 574 0 1646 692 NA
## [301] 181 NA 2 523 NA 346 594 20 997 636 813 0 468 494 31
## [316] 1023 31 1153 19 389 1431 573 NA 991 482 24 245 213 164 2032
## [331] 14 NA 0 421 4 594 NA 308 1223 690 643 739 418 0 1108
## [346] 323 0 736 NA NA NA 396 618 15 0 200 NA 379 607 394
## [361] 559 434 NA 4 NA 38 785 224 1851 621 358 NA 1038 450 2351
## [376] 1090 595 377 NA NA 131 99 NA 616 1328 198 463 189 273 1002
## [391] NA 449 25 1484 525 427 0 375 491 384 0 45 486 389 577
## [406] 92 NA 912 NA 374 862 0 752 NA 390
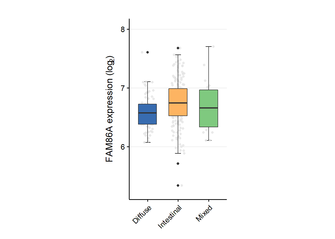
rse$primary_diagnosis
## [1] "Adenocarcinoma, NOS" "Adenocarcinoma, intestinal type"
## [3] "Tubular adenocarcinoma" "Tubular adenocarcinoma"
## [5] "Adenocarcinoma, NOS" "Adenocarcinoma, intestinal type"
## [7] "Carcinoma, diffuse type" "Adenocarcinoma, NOS"
## [9] "Adenocarcinoma, intestinal type" "Adenocarcinoma, NOS"
## [11] "Tubular adenocarcinoma" "Tubular adenocarcinoma"
## [13] "Adenocarcinoma, intestinal type" "Mucinous adenocarcinoma"
## [15] "Adenocarcinoma, intestinal type" "Adenocarcinoma, NOS"
## [17] "Adenocarcinoma, NOS" "Adenocarcinoma, NOS"
## [19] "Adenocarcinoma, NOS" "Mucinous adenocarcinoma"
## [21] "Carcinoma, diffuse type" "Mucinous adenocarcinoma"
## [23] "Tubular adenocarcinoma" "Carcinoma, diffuse type"
## [25] "Adenocarcinoma, NOS" "Adenocarcinoma, NOS"
## [27] "Carcinoma, diffuse type" "Carcinoma, diffuse type"
## [29] "Tubular adenocarcinoma" "Adenocarcinoma, intestinal type"
## [31] "Adenocarcinoma with mixed subtypes" "Adenocarcinoma, NOS"
## [33] "Mucinous adenocarcinoma" "Adenocarcinoma, NOS"
## [35] "Adenocarcinoma, NOS" "Carcinoma, diffuse type"
## [37] "Carcinoma, diffuse type" "Mucinous adenocarcinoma"
## [39] "Adenocarcinoma, NOS" "Tubular adenocarcinoma"
## [41] "Adenocarcinoma, NOS" "Adenocarcinoma, NOS"
## [43] "Tubular adenocarcinoma" "Carcinoma, diffuse type"
## [45] "Adenocarcinoma, NOS" "Papillary adenocarcinoma, NOS"
## [47] "Adenocarcinoma, NOS" "Adenocarcinoma, NOS"
## [49] "Tubular adenocarcinoma" "Adenocarcinoma, NOS"
## [51] "Adenocarcinoma, intestinal type" "Adenocarcinoma, NOS"
## [53] "Adenocarcinoma, NOS" "Adenocarcinoma, NOS"
## [55] "Adenocarcinoma, NOS" "Tubular adenocarcinoma"
## [57] "Adenocarcinoma, NOS" "Signet ring cell carcinoma"
## [59] "Adenocarcinoma, NOS" "Adenocarcinoma, intestinal type"
## [61] "Adenocarcinoma, NOS" "Adenocarcinoma, NOS"
## [63] "Tubular adenocarcinoma" "Adenocarcinoma, NOS"
## [65] "Adenocarcinoma, NOS" "Adenocarcinoma, NOS"
## [67] "Adenocarcinoma, NOS" "Adenocarcinoma with mixed subtypes"
## [69] "Adenocarcinoma, NOS" "Papillary adenocarcinoma, NOS"
## [71] "Mucinous adenocarcinoma" "Carcinoma, diffuse type"
## [73] "Carcinoma, diffuse type" "Adenocarcinoma, NOS"
## [75] "Adenocarcinoma, NOS" "Mucinous adenocarcinoma"
## [77] "Tubular adenocarcinoma" "Adenocarcinoma, NOS"
## [79] "Adenocarcinoma, NOS" "Carcinoma, diffuse type"
## [81] "Tubular adenocarcinoma" "Carcinoma, diffuse type"
## [83] "Papillary adenocarcinoma, NOS" "Adenocarcinoma, NOS"
## [85] "Signet ring cell carcinoma" "Adenocarcinoma, NOS"
## [87] "Tubular adenocarcinoma" "Adenocarcinoma, intestinal type"
## [89] "Tubular adenocarcinoma" "Tubular adenocarcinoma"
## [91] "Adenocarcinoma, NOS" "Mucinous adenocarcinoma"
## [93] "Tubular adenocarcinoma" "Adenocarcinoma, intestinal type"
## [95] "Papillary adenocarcinoma, NOS" "Adenocarcinoma, intestinal type"
## [97] "Mucinous adenocarcinoma" "Adenocarcinoma, NOS"
## [99] "Carcinoma, diffuse type" "Adenocarcinoma, NOS"
## [101] "Adenocarcinoma, intestinal type" "Carcinoma, diffuse type"
## [103] "Adenocarcinoma, NOS" "Adenocarcinoma, NOS"
## [105] "Tubular adenocarcinoma" "Adenocarcinoma, NOS"
## [107] "Carcinoma, diffuse type" "Adenocarcinoma, NOS"
## [109] "Signet ring cell carcinoma" "Adenocarcinoma, intestinal type"
## [111] "Adenocarcinoma, NOS" "Carcinoma, diffuse type"
## [113] "Carcinoma, diffuse type" "Adenocarcinoma, NOS"
## [115] "Adenocarcinoma, NOS" "Adenocarcinoma, intestinal type"
## [117] "Tubular adenocarcinoma" "Adenocarcinoma, intestinal type"
## [119] "Carcinoma, diffuse type" "Signet ring cell carcinoma"
## [121] "Adenocarcinoma, NOS" "Adenocarcinoma, NOS"
## [123] "Tubular adenocarcinoma" "Tubular adenocarcinoma"
## [125] "Adenocarcinoma, intestinal type" "Adenocarcinoma, NOS"
## [127] "Adenocarcinoma, NOS" "Adenocarcinoma, NOS"
## [129] "Adenocarcinoma, intestinal type" "Adenocarcinoma, NOS"
## [131] "Adenocarcinoma, NOS" "Adenocarcinoma, NOS"
## [133] "Adenocarcinoma, NOS" "Mucinous adenocarcinoma"
## [135] "Adenocarcinoma, NOS" "Carcinoma, diffuse type"
## [137] "Adenocarcinoma, intestinal type" "Signet ring cell carcinoma"
## [139] "Carcinoma, diffuse type" "Papillary adenocarcinoma, NOS"
## [141] "Adenocarcinoma, NOS" "Adenocarcinoma, intestinal type"
## [143] "Adenocarcinoma, NOS" "Carcinoma, diffuse type"
## [145] "Adenocarcinoma, intestinal type" "Carcinoma, diffuse type"
## [147] "Carcinoma, diffuse type" "Adenocarcinoma, NOS"
## [149] "Adenocarcinoma, NOS" "Tubular adenocarcinoma"
## [151] "Adenocarcinoma, NOS" "Adenocarcinoma, intestinal type"
## [153] "Carcinoma, diffuse type" "Adenocarcinoma, NOS"
## [155] "Mucinous adenocarcinoma" "Tubular adenocarcinoma"
## [157] "Tubular adenocarcinoma" "Adenocarcinoma, NOS"
## [159] "Adenocarcinoma, NOS" "Adenocarcinoma, intestinal type"
## [161] "Tubular adenocarcinoma" "Adenocarcinoma, NOS"
## [163] "Tubular adenocarcinoma" "Carcinoma, diffuse type"
## [165] "Adenocarcinoma, NOS" "Tubular adenocarcinoma"
## [167] "Adenocarcinoma, NOS" "Tubular adenocarcinoma"
## [169] "Adenocarcinoma, NOS" "Carcinoma, diffuse type"
## [171] "Tubular adenocarcinoma" "Carcinoma, diffuse type"
## [173] "Adenocarcinoma, NOS" "Adenocarcinoma, intestinal type"
## [175] "Adenocarcinoma, NOS" "Carcinoma, diffuse type"
## [177] "Carcinoma, diffuse type" "Carcinoma, diffuse type"
## [179] "Carcinoma, diffuse type" "Tubular adenocarcinoma"
## [181] "Adenocarcinoma, NOS" "Adenocarcinoma, NOS"
## [183] "Tubular adenocarcinoma" "Adenocarcinoma, NOS"
## [185] "Adenocarcinoma, NOS" "Carcinoma, diffuse type"
## [187] "Carcinoma, diffuse type" "Adenocarcinoma, intestinal type"
## [189] "Adenocarcinoma, NOS" "Adenocarcinoma, intestinal type"
## [191] "Adenocarcinoma, intestinal type" "Tubular adenocarcinoma"
## [193] "Adenocarcinoma, NOS" "Adenocarcinoma, NOS"
## [195] "Adenocarcinoma, NOS" "Papillary adenocarcinoma, NOS"
## [197] "Adenocarcinoma, NOS" "Tubular adenocarcinoma"
## [199] "Tubular adenocarcinoma" "Tubular adenocarcinoma"
## [201] "Adenocarcinoma, intestinal type" "Adenocarcinoma, NOS"
## [203] "Adenocarcinoma, intestinal type" "Adenocarcinoma, NOS"
## [205] "Tubular adenocarcinoma" "Tubular adenocarcinoma"
## [207] "Adenocarcinoma, NOS" "Adenocarcinoma, intestinal type"
## [209] "Adenocarcinoma, NOS" "Tubular adenocarcinoma"
## [211] "Carcinoma, diffuse type" "Tubular adenocarcinoma"
## [213] "Adenocarcinoma, intestinal type" "Carcinoma, diffuse type"
## [215] "Adenocarcinoma, intestinal type" "Tubular adenocarcinoma"
## [217] "Carcinoma, diffuse type" "Adenocarcinoma, intestinal type"
## [219] "Carcinoma, diffuse type" "Signet ring cell carcinoma"
## [221] "Adenocarcinoma, NOS" "Adenocarcinoma, NOS"
## [223] "Adenocarcinoma, NOS" "Carcinoma, diffuse type"
## [225] "Adenocarcinoma, NOS" "Carcinoma, diffuse type"
## [227] "Adenocarcinoma, intestinal type" "Adenocarcinoma, intestinal type"
## [229] "Carcinoma, diffuse type" "Adenocarcinoma, NOS"
## [231] "Adenocarcinoma, intestinal type" "Adenocarcinoma, NOS"
## [233] "Adenocarcinoma, intestinal type" "Tubular adenocarcinoma"
## [235] "Adenocarcinoma, NOS" "Tubular adenocarcinoma"
## [237] "Adenocarcinoma, NOS" "Adenocarcinoma, NOS"
## [239] "Tubular adenocarcinoma" "Signet ring cell carcinoma"
## [241] "Adenocarcinoma, intestinal type" "Adenocarcinoma, NOS"
## [243] "Tubular adenocarcinoma" "Adenocarcinoma, NOS"
## [245] "Adenocarcinoma, intestinal type" "Tubular adenocarcinoma"
## [247] "Adenocarcinoma, intestinal type" "Carcinoma, diffuse type"
## [249] "Carcinoma, diffuse type" "Adenocarcinoma, intestinal type"
## [251] "Adenocarcinoma, NOS" "Tubular adenocarcinoma"
## [253] "Adenocarcinoma, NOS" "Adenocarcinoma, intestinal type"
## [255] "Adenocarcinoma, NOS" "Adenocarcinoma, NOS"
## [257] "Adenocarcinoma, intestinal type" "Carcinoma, diffuse type"
## [259] "Signet ring cell carcinoma" "Adenocarcinoma, NOS"
## [261] "Tubular adenocarcinoma" "Adenocarcinoma, NOS"
## [263] "Papillary adenocarcinoma, NOS" "Carcinoma, diffuse type"
## [265] "Carcinoma, diffuse type" "Adenocarcinoma, NOS"
## [267] "Tubular adenocarcinoma" "Adenocarcinoma, NOS"
## [269] "Carcinoma, diffuse type" "Adenocarcinoma, intestinal type"
## [271] "Carcinoma, diffuse type" "Adenocarcinoma, intestinal type"
## [273] "Adenocarcinoma, intestinal type" "Adenocarcinoma, intestinal type"
## [275] "Adenocarcinoma, intestinal type" "Adenocarcinoma, intestinal type"
## [277] "Adenocarcinoma, NOS" "Adenocarcinoma, NOS"
## [279] "Tubular adenocarcinoma" "Tubular adenocarcinoma"
## [281] "Tubular adenocarcinoma" "Adenocarcinoma, intestinal type"
## [283] "Signet ring cell carcinoma" "Adenocarcinoma, NOS"
## [285] "Adenocarcinoma, intestinal type" "Adenocarcinoma, intestinal type"
## [287] "Mucinous adenocarcinoma" "Mucinous adenocarcinoma"
## [289] "Signet ring cell carcinoma" "Adenocarcinoma, intestinal type"
## [291] "Mucinous adenocarcinoma" "Adenocarcinoma, NOS"
## [293] "Adenocarcinoma, NOS" "Carcinoma, diffuse type"
## [295] "Carcinoma, diffuse type" "Adenocarcinoma, intestinal type"
## [297] "Tubular adenocarcinoma" "Adenocarcinoma, NOS"
## [299] "Tubular adenocarcinoma" "Signet ring cell carcinoma"
## [301] "Carcinoma, diffuse type" "Tubular adenocarcinoma"
## [303] "Carcinoma, diffuse type" "Adenocarcinoma, NOS"
## [305] "Tubular adenocarcinoma" "Adenocarcinoma, intestinal type"
## [307] "Adenocarcinoma, NOS" "Tubular adenocarcinoma"
## [309] "Adenocarcinoma, NOS" "Adenocarcinoma, intestinal type"
## [311] "Adenocarcinoma, NOS" "Adenocarcinoma, NOS"
## [313] "Adenocarcinoma, NOS" "Adenocarcinoma, intestinal type"
## [315] "Adenocarcinoma, intestinal type" "Adenocarcinoma, NOS"
## [317] "Adenocarcinoma, intestinal type" "Adenocarcinoma, intestinal type"
## [319] "Adenocarcinoma, NOS" "Adenocarcinoma, NOS"
## [321] "Carcinoma, diffuse type" "Tubular adenocarcinoma"
## [323] "Tubular adenocarcinoma" "Mucinous adenocarcinoma"
## [325] "Adenocarcinoma, NOS" "Carcinoma, diffuse type"
## [327] "Adenocarcinoma, intestinal type" "Adenocarcinoma, NOS"
## [329] "Adenocarcinoma, intestinal type" "Tubular adenocarcinoma"
## [331] "Adenocarcinoma, NOS" "Adenocarcinoma, NOS"
## [333] "Adenocarcinoma, NOS" "Adenocarcinoma, NOS"
## [335] "Adenocarcinoma, NOS" "Mucinous adenocarcinoma"
## [337] "Adenocarcinoma, intestinal type" "Adenocarcinoma, NOS"
## [339] "Adenocarcinoma, NOS" "Carcinoma, diffuse type"
## [341] "Adenocarcinoma, NOS" "Carcinoma, diffuse type"
## [343] "Adenocarcinoma, NOS" "Adenocarcinoma, NOS"
## [345] "Adenocarcinoma, NOS" "Adenocarcinoma, NOS"
## [347] "Adenocarcinoma, NOS" "Tubular adenocarcinoma"
## [349] "Adenocarcinoma, NOS" "Adenocarcinoma, intestinal type"
## [351] "Carcinoma, diffuse type" "Adenocarcinoma, intestinal type"
## [353] "Adenocarcinoma, intestinal type" "Mucinous adenocarcinoma"
## [355] "Adenocarcinoma, NOS" "Carcinoma, diffuse type"
## [357] "Carcinoma, diffuse type" "Adenocarcinoma, NOS"
## [359] "Adenocarcinoma, intestinal type" "Tubular adenocarcinoma"
## [361] "Adenocarcinoma, NOS" "Tubular adenocarcinoma"
## [363] "Signet ring cell carcinoma" "Carcinoma, diffuse type"
## [365] "Adenocarcinoma, intestinal type" "Adenocarcinoma, NOS"
## [367] "Tubular adenocarcinoma" "Adenocarcinoma, NOS"
## [369] "Adenocarcinoma, intestinal type" "Adenocarcinoma, NOS"
## [371] "Tubular adenocarcinoma" "Adenocarcinoma, NOS"
## [373] "Carcinoma, diffuse type" "Adenocarcinoma, intestinal type"
## [375] "Mucinous adenocarcinoma" "Adenocarcinoma, NOS"
## [377] "Carcinoma, diffuse type" "Carcinoma, diffuse type"
## [379] "Adenocarcinoma, NOS" "Signet ring cell carcinoma"
## [381] "Adenocarcinoma, NOS" "Carcinoma, diffuse type"
## [383] "Adenocarcinoma, NOS" "Carcinoma, diffuse type"
## [385] "Tubular adenocarcinoma" "Tubular adenocarcinoma"
## [387] "Tubular adenocarcinoma" "Adenocarcinoma, NOS"
## [389] "Carcinoma, diffuse type" "Adenocarcinoma, intestinal type"
## [391] "Tubular adenocarcinoma" "Mucinous adenocarcinoma"
## [393] "Adenocarcinoma, NOS" "Adenocarcinoma, intestinal type"
## [395] "Adenocarcinoma, intestinal type" "Adenocarcinoma, NOS"
## [397] "Adenocarcinoma, intestinal type" "Tubular adenocarcinoma"
## [399] "Adenocarcinoma, NOS" "Adenocarcinoma, NOS"
## [401] "Adenocarcinoma, NOS" "Adenocarcinoma, intestinal type"
## [403] "Tubular adenocarcinoma" "Tubular adenocarcinoma"
## [405] "Adenocarcinoma, intestinal type" "Carcinoma, diffuse type"
## [407] "Adenocarcinoma, NOS" "Adenocarcinoma, intestinal type"
## [409] "Adenocarcinoma, intestinal type" "Carcinoma, diffuse type"
## [411] "Mucinous adenocarcinoma" "Adenocarcinoma, NOS"
## [413] "Tubular adenocarcinoma" "Tubular adenocarcinoma"
## [415] "Adenocarcinoma, NOS"
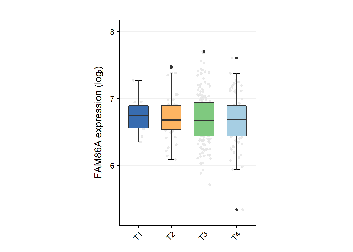
rse$ajcc_pathologic_t
## [1] "T3" "T4b" "T2" "T2" "T4a" "T3" "T4a" "T3" "T4b" "T3" "T4a" "T3"
## [13] "T3" "T2" "T3" "TX" "T3" "T4a" "T2" "T3" "T4a" "T3" "T3" "T3"
## [25] "T4" "T4b" "T2" "T3" "T4b" "T2" "T3" "T3" "T3" "T2" "T4a" "T2"
## [37] "T2" "T4a" "T3" "T3" "T3" "T4b" "T1b" "T2" "T3" "T3" "T4a" "T2"
## [49] "T2" "T1b" "T4" "T3" "T3" "T4a" "T3" "T4a" "T3" "T2" "T1" "T4a"
## [61] "T3" "T3" "T4b" "TX" "T3" "T4b" "T4b" "T4" "T2a" "T2" "T3" "T4"
## [73] "T4b" "T3" "T3" "T4a" "T3" "T3" "T3" "T2" "T3" "T3" "T3" "T4b"
## [85] "T4" "T4a" "T4" "T3" "T3" "T1b" "T3" "T3" "T3" "T4a" "T3" "T2"
## [97] "T3" "T3" "T4a" "T3" "T2" "T2" "T3" "T2" "T2" "T3" "T2" "T4a"
## [109] "T2b" "T4" "T2a" "T4a" "T4a" "T4a" "T4" "T2" "T3" "T2" "T3" "T4a"
## [121] "T2b" "T3" "T3" "T4" "T3" "T2" "T3" "T3" "T3" "T3" "TX" "T3"
## [133] "T2" "T2b" "T4a" "T4b" "T2" "T4b" "T4a" "T2" "T3" "T3" "T4a" "T4"
## [145] "T1" "T3" "T4a" "T3" "T4a" "T3" "T1b" "T3" "T2" "T3" "T4" "T2"
## [157] "T4" "T2a" "T4" "T3" "T4a" "T3" "T3" "T3" "T4" "T4" "T2" "T4a"
## [169] "T3" "T4" "T3" "T4a" "T3" "T3" "T3" "T3" "T4a" "T2b" "T3" "T3"
## [181] "T4a" "T1b" "T3" "T3" "T4b" "T2b" "T3" "T1" "T3" "T2" "T3" "T4a"
## [193] "T2" "T4b" "T3" "T1b" "T2" "T3" "T3" "T3" "T4" "T2" "T4a" "T3"
## [205] "T4b" "T3" "T3" "T4a" "T2b" "T3" "T2a" "T3" "T4b" "T3" "T3" "T4a"
## [217] "T3" "T3" "T4" "T2" "T3" "TX" "T2" "T4b" "T3" "T2" "T4a" "T4a"
## [229] "T3" "T4b" "T4" "T4a" "T4" "T3" "T3" "T4" "T2a" "T2" "T4b" "T3"
## [241] "T3" "TX" "T3" "T3" "T4b" "T2" "T3" "T3" "T4a" "T4" "T4" "T3"
## [253] "T3" "T2a" "T2" "T3" "T4" "T3" "T4" "TX" "T3" "T3" "T1b" "T3"
## [265] "T4b" "T3" "T3" "T3" "T2" "T2" "T2" "T1" "T3" "T3" "T4a" "T1"
## [277] "T3" "T2" "T1a" "T3" "T3" "T3" "T4a" "T3" "T4a" "T3" "T4a" "T4a"
## [289] "T4" "T4a" "T3" "T3" "T2" "T3" "T4a" "T4a" "T2a" "T3" "T3" "T3"
## [301] "T2" "T3" "T3" "T2" "T3" "T3" "T1b" "T4a" "T3" "T2" "T3" "TX"
## [313] "T3" "T4b" "T4" "T3" "T2b" "T3" "T4b" "T4a" "T2b" "T2b" "T3" "T4a"
## [325] "T4b" "T4a" "T2" "T3" "T3" "T2b" "T3" "T3" "T2a" "T3" "T3" "T3"
## [337] "T3" "T3" "T3" "T3" "T2" "T3" "T3" "T3" "T3" "T3" "T4" "T1a"
## [349] "T2" "T3" "T3" "T2" "T3" "T4" "TX" "T3" "T3" "T1b" "T3" "T3"
## [361] "T1b" "T2" "T4a" "T3" "T3" "T3" "T3" "T3" "T3" "T2" "T1b" "T1b"
## [373] "T3" "T4a" "T2b" "T2" "T4" "T3" "T3" "T4a" "T2" "T4a" "T2b" "T4b"
## [385] "T4a" "T3" "T2" "T1b" "T2" "T3" "T3" "T2" "T3" "T3" "T2" "T2"
## [397] "T2" "T2" "T3" "T2" "TX" "T4b" "T2" "T2b" "T2a" "T4a" "T4a" "T1"
## [409] "T2b" "T3" "T4a" "T1b" "T3" "T4" "T3"
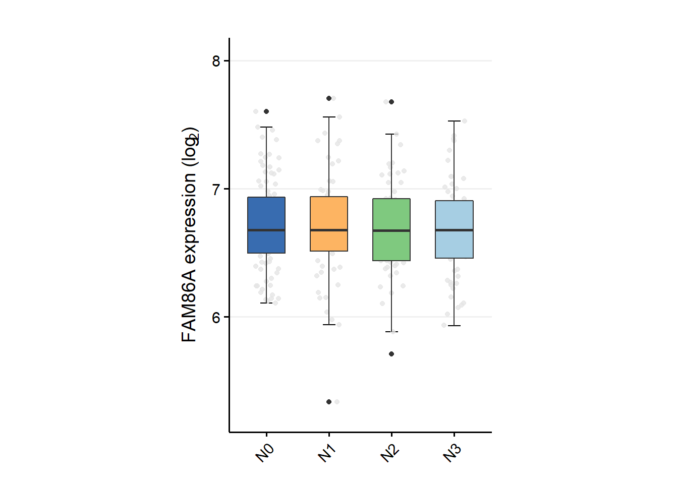
rse$ajcc_pathologic_n
## [1] "N0" "N1" "N2" "N2" "N2" "N2" "N3b" "N1" "N2" "N0" "N2" "N2"
## [13] "N3a" "N1" "N0" "N1" "N3a" "N0" "NX" "N3a" "N3" "N0" NA "N2"
## [25] "N0" "N0" "N0" "N1" "N1" "N2" "N1" "N1" "N1" "N0" "N0" "N3"
## [37] "N1" "N1" "N2" "N3a" "N1" "N3a" "N0" "N0" "N0" "N0" "N0" "N1"
## [49] "N1" "N0" "N1" "N3a" "N3a" "N3a" "N0" "N1" "N1" "N0" "NX" "N2"
## [61] "N0" "N3a" "N2" "NX" "N3" "N2" "N3a" "N1" "N1" "N1" "N2" "N3"
## [73] "N3a" "N3a" "N0" "NX" "N2" "N3" "N0" "N0" "N2" "N1" "N3" "N2"
## [85] "NX" "N2" "N3" "N2" "N0" "N1" "N0" "N3b" "N2" "N0" "N0" "N3"
## [97] "N0" "N2" "N2" "N3a" "N0" "N2" "N3" "N0" "N0" "N0" "N0" "N2"
## [109] "N0" NA "N0" "N3b" "N0" "N3" "N1" "N1" "N2" "N2" "N1" "N3a"
## [121] "N1" "NX" "N3" "N1" "N3a" "N1" "NX" "N0" "N0" "N1" "N1" "N3a"
## [133] "N2" "N3" "N0" "N3a" "N0" "N3a" "N2" "N0" "N3a" "N1" "N3a" "N1"
## [145] "N0" "N1" "N3a" "N1" "N0" "N3a" "N0" "N2" "N3" "N1" "N0" "N3"
## [157] "N1" "NX" "N1" "N3a" "N3b" "N0" "N2" "N2" "N0" "N2" "N2" "N3"
## [169] "N3a" "N1" "N2" "N0" "N1" "N1" "N1" "N1" "N0" "N1" "N3" "N2"
## [181] "N2" "N1" "N1" "N0" "N1" "N2" "N1" "N1" "N0" "N0" "N2" "N1"
## [193] "N1" "N2" "N0" "N0" "N2" "N3b" "N2" "N1" "N3a" "N0" "N1" "N0"
## [205] "N1" "NX" "N0" "N3" "N0" "N1" "N0" "N3a" "N0" "N0" "N1" "N3b"
## [217] "N0" "N3" "N3a" "N0" "N1" "N1" "N0" "N1" "N2" "N1" "N2" "NX"
## [229] "N2" "N3a" "N1" "N1" "N1" "N0" "N0" "N1" "N0" "N2" "N2" "N2"
## [241] "N0" "NX" "N2" "N1" "N3a" "N1" "N2" "N1" "N2" "N3a" "N3a" "N2"
## [253] "N0" "N0" "N0" "N0" "N2" "N3" "N3" "NX" "N2" "N1" "N0" "N1"
## [265] "N2" "N2" "N1" "N0" "N1" "N0" "N0" "N0" "N2" "N1" "N0" "N0"
## [277] "N1" "N0" "N0" "N1" "N2" "N3" "N0" "N1" "NX" "N0" "N1" "N3a"
## [289] "N3" "N3a" "N1" "N2" "N1" "N1" "N1" "N0" "NX" "N1" "N1" "N1"
## [301] "N2" "N0" "N0" "N3a" "N1" "N0" "N2" "N1" "N0" "N2" "N3a" "NX"
## [313] "N0" "N1" "N0" "N0" "N1" "N2" "N2" "N0" "N2" "N2" "N3a" "N0"
## [325] "N3a" "N2" "N1" "N1" "N2" "N0" "N0" "N0" "N1" "N3a" "N1" "N1"
## [337] "N3" "N1" "N0" "N1" "N0" "N1" "N3a" "N0" "N1" "N1" "N2" "N0"
## [349] "N0" "N2" "N3" "N1" "N2" "N3a" "NX" "N1" "N3" "N0" "N2" "N3b"
## [361] "N0" "N3a" "N3a" "N0" "N1" "N3a" "N0" "N1" "N1" "N0" "N0" "N0"
## [373] "N0" "N1" "N1" "N0" "N3" "N0" "N2" "N0" "N0" "N2" "N0" "N2"
## [385] "N3" "N0" "N0" "N1" "N1" "N2" "N3" "N2" "N2" "N3a" "N0" "NX"
## [397] "N0" "N0" "N0" "N0" "N1" "N2" "N2" "N3" "N0" "N3a" "N1" "N0"
## [409] "N1" "N1" "N1" "N0" "N3a" "N1" "N1"
rse$ajcc_pathologic_m
## [1] "M0" "M0" "M0" "M0" "M0" "M1" "M0" "M0" "M0" "M0" "M0" "M0" "M0" "M0" "M0"
## [16] "M0" "M0" "M0" "M0" "M0" "M1" "M0" "M0" "M0" "M0" "M0" "M0" "M0" "M0" "M0"
## [31] "M0" "M0" "M0" "M0" "M0" "M0" "M0" "M0" "MX" "M0" "M0" "M0" "M0" "M0" "M0"
## [46] "M0" "M0" "M0" "M0" "M0" "M0" "M0" "M1" "M0" "M0" "M0" "M0" "M0" "M0" "M0"
## [61] "M0" "M0" "M1" "M0" "M0" "M0" "M0" "M0" "M0" "M0" "M0" "M1" "M0" "M0" "M0"
## [76] "M0" "M0" "M1" "M0" "M0" "M0" "M0" "M0" "M0" "MX" "M0" "M0" "MX" "M0" "M0"
## [91] "M0" "M0" "M0" "M0" "M0" "M0" "M0" "M0" "M0" "M0" "M0" "M0" "M0" "M0" "M0"
## [106] "M0" "M0" "M0" "MX" "M0" "M0" "M0" "M0" "M0" "M0" "M0" "M0" "M0" "M0" "M1"
## [121] "M0" "MX" "M0" "M0" "M1" "M0" "MX" "M0" "M0" "M0" "M0" "M0" "M0" "M0" "M0"
## [136] "M0" "M0" "MX" "M0" "M0" "M0" "MX" "M0" "M0" "M0" "M0" "MX" "M0" "M0" "M0"
## [151] "M0" "M0" "M0" "MX" "M1" "M0" "M0" "M0" "M1" "M0" "M0" "M0" "M0" "M0" "M0"
## [166] "M1" "M0" "MX" "M0" "M1" "M0" "M0" "M0" "M0" "M0" "M0" "M0" "M0" "M0" "M0"
## [181] "M1" "MX" "M1" "M0" "M0" "M0" "M0" "M0" "M0" "M0" "M0" "M0" "M0" "M0" "MX"
## [196] "M0" "M0" "M0" "M0" "M0" "M1" "M0" "M1" "M0" "M0" "M0" "M0" "M0" "MX" "M0"
## [211] "M0" "M0" "M0" "M0" "M0" "M0" "M0" "M0" "M0" "M0" "M0" "M0" "M0" "M0" "M0"
## [226] "M0" "M0" "M0" "M0" "M0" "M0" "M0" "M1" "M0" "M0" "M0" "M0" "M0" "M0" "M0"
## [241] "M0" "M0" "M0" "M0" "M0" "M0" "M0" "M0" "M1" "M0" "M0" "M0" "M0" "M0" "MX"
## [256] "M0" "M0" "M1" "M0" "M0" "M0" "M0" "M0" "M0" "M0" "M1" "M1" "M0" "M0" "M0"
## [271] "M0" "M0" "M0" "M0" "M0" "M0" "M0" "M0" "M0" "M0" "M0" "M1" "M0" "M0" "M0"
## [286] "M0" "M0" "M0" "M1" "M0" "M0" "M0" "M0" "M0" "M0" "M0" "M0" "M0" "M0" "M0"
## [301] "M0" "M0" "M0" "M0" "M0" "M0" "M0" "M0" "M0" "M0" "M0" "M0" "M0" "MX" "M1"
## [316] "M0" "M0" "M0" "M0" "M0" "M0" "M0" "M0" "M0" "M0" "M0" "M0" "M0" "M0" "M0"
## [331] "M0" "M0" "M0" "M0" "M0" "M0" "M0" "M0" "M0" "M0" "M0" "M0" "M0" "M0" "M0"
## [346] "M0" "M0" "M0" "M0" "M0" "M1" "M0" "M0" "M0" "M0" "M0" "M1" "M0" "M0" "M0"
## [361] "M0" "M0" "M0" "M0" "M0" "M0" "M0" "M0" "M0" "M0" "M0" "M0" "M0" "M0" "M0"
## [376] "M0" "M0" "M0" "MX" "M0" "M0" "M0" "MX" "M0" "M0" "M0" "M0" "M0" "M0" "M0"
## [391] "M0" "M0" "M0" "M0" "MX" "MX" "M0" "M0" "M0" "M0" "M0" "M0" "M0" "M0" "M0"
## [406] "MX" "M0" "M0" "M0" "M0" "M0" "M0" "M0" "M1" "M0"
rse$site_of_resection_or_biopsy
## [1] "Fundus of stomach" "Body of stomach"
## [3] "Gastric antrum" "Gastric antrum"
## [5] "Gastric antrum" "Body of stomach"
## [7] "Body of stomach" "Body of stomach"
## [9] "Body of stomach" "Cardia, NOS"
## [11] "Gastric antrum" "Gastric antrum"
## [13] "Gastric antrum" "Gastric antrum"
## [15] "Body of stomach" "Gastric antrum"
## [17] "Gastric antrum" "Body of stomach"
## [19] "Body of stomach" "Body of stomach"
## [21] "Fundus of stomach" "Gastric antrum"
## [23] "Gastric antrum" "Fundus of stomach"
## [25] "Stomach, NOS" "Body of stomach"
## [27] "Body of stomach" "Gastric antrum"
## [29] "Body of stomach" "Gastric antrum"
## [31] "Stomach, NOS" "Cardia, NOS"
## [33] "Fundus of stomach" "Fundus of stomach"
## [35] "Body of stomach" "Cardia, NOS"
## [37] "Gastric antrum" "Cardia, NOS"
## [39] "Cardia, NOS" "Fundus of stomach"
## [41] "Cardia, NOS" "Fundus of stomach"
## [43] "Body of stomach" "Fundus of stomach"
## [45] "Cardia, NOS" "Gastric antrum"
## [47] "Gastric antrum" "Cardia, NOS"
## [49] "Body of stomach" "Cardia, NOS"
## [51] "Fundus of stomach" "Gastric antrum"
## [53] "Cardia, NOS" "Gastric antrum"
## [55] "Cardia, NOS" "Body of stomach"
## [57] "Cardia, NOS" "Gastric antrum"
## [59] "Body of stomach" "Gastric antrum"
## [61] "Stomach, NOS" "Cardia, NOS"
## [63] "Gastric antrum" "Gastric antrum"
## [65] "Cardia, NOS" "Fundus of stomach"
## [67] "Fundus of stomach" "Gastric antrum"
## [69] "Gastric antrum" "Cardia, NOS"
## [71] "Gastric antrum" "Gastric antrum"
## [73] "Body of stomach" "Cardia, NOS"
## [75] "Cardia, NOS" "Gastric antrum"
## [77] "Body of stomach" "Cardia, NOS"
## [79] "Cardia, NOS" "Fundus of stomach"
## [81] "Fundus of stomach" "Fundus of stomach"
## [83] "Body of stomach" "Gastric antrum"
## [85] "Body of stomach" "Gastric antrum"
## [87] "Gastric antrum" "Cardia, NOS"
## [89] "Gastric antrum" "Gastric antrum"
## [91] "Gastric antrum" "Gastric antrum"
## [93] "Body of stomach" "Body of stomach"
## [95] "Gastric antrum" "Cardia, NOS"
## [97] "Body of stomach" "Body of stomach"
## [99] "Gastric antrum" "Body of stomach"
## [101] "Cardia, NOS" "Gastric antrum"
## [103] "Cardia, NOS" "Gastric antrum"
## [105] "Fundus of stomach" "Cardia, NOS"
## [107] "Gastric antrum" "Gastric antrum"
## [109] "Body of stomach" "Fundus of stomach"
## [111] "Body of stomach" "Body of stomach"
## [113] "Gastric antrum" "Body of stomach"
## [115] "Cardia, NOS" "Gastric antrum"
## [117] "Body of stomach" "Body of stomach"
## [119] "Cardia, NOS" "Gastric antrum"
## [121] "Stomach, NOS" "Body of stomach"
## [123] "Gastric antrum" "Gastric antrum"
## [125] "Body of stomach" "Body of stomach"
## [127] "Body of stomach" "Body of stomach"
## [129] "Body of stomach" "Stomach, NOS"
## [131] "Stomach, NOS" "Gastric antrum"
## [133] "Gastric antrum" "Stomach, NOS"
## [135] "Fundus of stomach" "Body of stomach"
## [137] "Stomach, NOS" "Body of stomach"
## [139] "Body of stomach" "Fundus of stomach"
## [141] "Gastric antrum" "Gastric antrum"
## [143] "Gastric antrum" "Gastric antrum"
## [145] "Gastric antrum" "Cardia, NOS"
## [147] "Body of stomach" "Body of stomach"
## [149] "Body of stomach" "Gastric antrum"
## [151] "Cardia, NOS" "Cardia, NOS"
## [153] "Body of stomach" "Cardia, NOS"
## [155] "Gastric antrum" "Cardia, NOS"
## [157] "Body of stomach" "Cardia, NOS"
## [159] "Cardia, NOS" "Cardia, NOS"
## [161] "Gastric antrum" "Gastric antrum"
## [163] "Gastric antrum" "Body of stomach"
## [165] "Gastric antrum" "Body of stomach"
## [167] "Fundus of stomach" "Gastric antrum"
## [169] "Cardia, NOS" "Stomach, NOS"
## [171] "Cardia, NOS" "Body of stomach"
## [173] "Gastric antrum" "Gastric antrum"
## [175] "Cardia, NOS" "Gastric antrum"
## [177] "Gastric antrum" "Cardia, NOS"
## [179] "Body of stomach" "Gastric antrum"
## [181] "Gastric antrum" "Gastric antrum"
## [183] "Cardia, NOS" "Fundus of stomach"
## [185] "Fundus of stomach" "Body of stomach"
## [187] "Gastric antrum" "Body of stomach"
## [189] "Gastric antrum" "Gastric antrum"
## [191] "Body of stomach" "Gastric antrum"
## [193] "Cardia, NOS" "Fundus of stomach"
## [195] "Cardia, NOS" "Cardia, NOS"
## [197] "Cardia, NOS" "Body of stomach"
## [199] "Gastric antrum" "Gastric antrum"
## [201] "Body of stomach" "Fundus of stomach"
## [203] "Gastric antrum" "Fundus of stomach"
## [205] "Gastric antrum" "Body of stomach"
## [207] "Gastric antrum" "Gastric antrum"
## [209] "Lesser curvature of stomach, NOS" "Body of stomach"
## [211] "Gastric antrum" "Cardia, NOS"
## [213] "Gastric antrum" "Body of stomach"
## [215] "Body of stomach" "Body of stomach"
## [217] "Gastric antrum" "Stomach, NOS"
## [219] "Gastric antrum" "Cardia, NOS"
## [221] "Cardia, NOS" "Stomach, NOS"
## [223] "Cardia, NOS" "Fundus of stomach"
## [225] "Cardia, NOS" "Cardia, NOS"
## [227] "Cardia, NOS" "Fundus of stomach"
## [229] "Cardia, NOS" "Fundus of stomach"
## [231] "Gastric antrum" "Fundus of stomach"
## [233] "Body of stomach" "Fundus of stomach"
## [235] "Body of stomach" "Body of stomach"
## [237] "Cardia, NOS" "Cardia, NOS"
## [239] "Gastric antrum" "Cardia, NOS"
## [241] "Gastric antrum" "Cardia, NOS"
## [243] "Gastric antrum" "Gastric antrum"
## [245] "Fundus of stomach" "Gastric antrum"
## [247] "Body of stomach" "Gastric antrum"
## [249] "Gastric antrum" "Cardia, NOS"
## [251] "Fundus of stomach" "Body of stomach"
## [253] "Fundus of stomach" "Cardia, NOS"
## [255] "Cardia, NOS" "Gastric antrum"
## [257] "Gastric antrum" "Stomach, NOS"
## [259] "Cardia, NOS" "Gastric antrum"
## [261] "Gastric antrum" "Gastric antrum"
## [263] "Body of stomach" "Gastric antrum"
## [265] "Fundus of stomach" "Gastric antrum"
## [267] "Cardia, NOS" "Gastric antrum"
## [269] "Cardia, NOS" "Cardia, NOS"
## [271] "Gastric antrum" "Stomach, NOS"
## [273] "Gastric antrum" "Fundus of stomach"
## [275] "Body of stomach" "Body of stomach"
## [277] "Body of stomach" "Gastric antrum"
## [279] "Body of stomach" "Gastric antrum"
## [281] "Cardia, NOS" "Body of stomach"
## [283] "Gastric antrum" "Pylorus"
## [285] "Fundus of stomach" "Cardia, NOS"
## [287] "Body of stomach" "Gastric antrum"
## [289] "Gastric antrum" "Gastric antrum"
## [291] "Gastric antrum" "Cardia, NOS"
## [293] "Cardia, NOS" "Cardia, NOS"
## [295] "Gastric antrum" "Body of stomach"
## [297] "Body of stomach" "Cardia, NOS"
## [299] "Gastric antrum" "Gastric antrum"
## [301] "Cardia, NOS" "Gastric antrum"
## [303] "Cardia, NOS" "Gastric antrum"
## [305] "Body of stomach" "Stomach, NOS"
## [307] "Cardia, NOS" "Gastric antrum"
## [309] "Body of stomach" "Gastric antrum"
## [311] "Gastric antrum" "Gastric antrum"
## [313] "Gastric antrum" "Gastric antrum"
## [315] "Body of stomach" "Body of stomach"
## [317] "Body of stomach" "Gastric antrum"
## [319] "Cardia, NOS" "Fundus of stomach"
## [321] "Body of stomach" "Gastric antrum"
## [323] "Gastric antrum" "Gastric antrum"
## [325] "Gastric antrum" "Gastric antrum"
## [327] "Cardia, NOS" "Body of stomach"
## [329] "Gastric antrum" "Cardia, NOS"
## [331] "Gastric antrum" "Gastric antrum"
## [333] "Stomach, NOS" "Body of stomach"
## [335] "Gastric antrum" "Cardia, NOS"
## [337] "Fundus of stomach" "Body of stomach"
## [339] "Body of stomach" "Gastric antrum"
## [341] "Gastric antrum" "Gastric antrum"
## [343] "Fundus of stomach" "Cardia, NOS"
## [345] "Fundus of stomach" "Cardia, NOS"
## [347] "Gastric antrum" "Body of stomach"
## [349] "Cardia, NOS" "Cardia, NOS"
## [351] "Gastric antrum" "Gastric antrum"
## [353] "Fundus of stomach" "Body of stomach"
## [355] "Gastric antrum" "Gastric antrum"
## [357] "Cardia, NOS" "Cardia, NOS"
## [359] "Cardia, NOS" "Gastric antrum"
## [361] "Cardia, NOS" "Cardia, NOS"
## [363] "Cardia, NOS" "Gastric antrum"
## [365] "Cardia, NOS" "Cardia, NOS"
## [367] "Gastric antrum" "Fundus of stomach"
## [369] "Body of stomach" "Cardia, NOS"
## [371] "Body of stomach" "Cardia, NOS"
## [373] "Cardia, NOS" "Fundus of stomach"
## [375] "Gastric antrum" "Body of stomach"
## [377] "Fundus of stomach" "Fundus of stomach"
## [379] "Stomach, NOS" "Gastric antrum"
## [381] "Fundus of stomach" "Gastric antrum"
## [383] "Stomach, NOS" "Gastric antrum"
## [385] "Cardia, NOS" "Gastric antrum"
## [387] "Body of stomach" "Cardia, NOS"
## [389] "Gastric antrum" "Cardia, NOS"
## [391] "Cardia, NOS" "Gastric antrum"
## [393] "Body of stomach" "Body of stomach"
## [395] "Gastric antrum" "Stomach, NOS"
## [397] "Gastric antrum" "Body of stomach"
## [399] "Body of stomach" "Fundus of stomach"
## [401] "Gastric antrum" "Body of stomach"
## [403] "Body of stomach" "Body of stomach"
## [405] "Cardia, NOS" "Gastric antrum"
## [407] "Gastric antrum" "Body of stomach"
## [409] "Cardia, NOS" "Gastric antrum"
## [411] "Gastric antrum" "Fundus of stomach"
## [413] "Cardia, NOS" "Cardia, NOS"
## [415] "Fundus of stomach"
rse$gender
## [1] "male" "female" "male" "female" "female" "female" "female" "male"
## [9] "male" "female" "male" "female" "male" "male" "female" "male"
## [17] "female" "female" "female" "male" "female" "male" "male" "female"
## [25] "female" "male" "male" "male" "male" "female" "male" "male"
## [33] "male" "female" "male" "male" "male" "male" "male" "male"
## [41] "male" "male" "male" "female" "male" "female" "male" "male"
## [49] "male" "male" "male" "female" "male" "male" "female" "female"
## [57] "male" "female" "female" "male" "male" "male" "male" "male"
## [65] "male" "male" "female" "male" "male" "male" "male" "female"
## [73] "male" "female" "male" "male" "male" "female" "female" "male"
## [81] "male" "female" "male" "male" "male" "male" "female" "male"
## [89] "female" "male" "male" "male" "male" "female" "female" "male"
## [97] "male" "male" "male" "male" "male" "male" "male" "male"
## [105] "male" "male" "male" "male" "female" "male" "male" "male"
## [113] "male" "male" "male" "female" "female" "male" "male" "male"
## [121] "female" "male" "male" "male" "female" "male" "female" "female"
## [129] "male" "female" "female" "male" "female" "female" "female" "male"
## [137] "male" "male" "male" "male" "male" "female" "male" "female"
## [145] "male" "male" "male" "female" "female" "female" "male" "male"
## [153] "male" "male" "male" "female" "male" "female" "female" "male"
## [161] "male" "female" "female" "male" "female" "male" "male" "female"
## [169] "female" "female" "male" "female" "male" "male" "male" "male"
## [177] "female" "male" "male" "female" "male" "male" "male" "male"
## [185] "male" "male" "female" "female" "female" "male" "male" "female"
## [193] "male" "female" "male" "male" "female" "male" "male" "female"
## [201] "male" "male" "female" "female" "male" "female" "male" "male"
## [209] "male" "female" "male" "male" "female" "female" "male" "male"
## [217] "male" "male" "female" "male" "male" "male" "male" "female"
## [225] "male" "female" "male" "male" "male" "male" "male" "male"
## [233] "female" "male" "male" "male" "male" "male" "male" "male"
## [241] "female" "male" "male" "male" "male" "male" "male" "male"
## [249] "female" "male" "female" "male" "female" "female" "male" "female"
## [257] "male" "female" "male" "male" "male" "male" "male" "male"
## [265] "female" "male" "male" "female" "female" "female" "female" "male"
## [273] "male" "female" "female" "male" "female" "female" "female" "female"
## [281] "female" "female" "male" "male" "male" "male" "male" "female"
## [289] "male" "female" "female" "male" "male" "female" "female" "male"
## [297] "male" "male" "male" "male" "male" "male" "male" "male"
## [305] "male" "male" "female" "male" "female" "female" "female" "female"
## [313] "male" "male" "female" "male" "female" "male" "female" "female"
## [321] "male" "male" "female" "male" "female" "female" "male" "female"
## [329] "male" "male" "male" "male" "male" "female" "female" "male"
## [337] "male" "female" "male" "female" "male" "male" "male" "male"
## [345] "male" "female" "female" "female" "male" "male" "male" "male"
## [353] "male" "female" "female" "male" "male" "male" "female" "female"
## [361] "male" "male" "male" "male" "male" "female" "male" "male"
## [369] "male" "female" "male" "male" "female" "female" "male" "female"
## [377] "male" "male" "male" "male" "female" "male" "female" "female"
## [385] "female" "female" "female" "male" "female" "male" "male" "female"
## [393] "female" "male" "male" "male" "male" "male" "male" "male"
## [401] "male" "female" "female" "male" "female" "male" "male" "male"
## [409] "male" "male" "male" "female" "male" "female" "male"
rse$paper_Lauren.Class
## [1] Mixed Intestinal Intestinal Intestinal Diffuse Diffuse
## [7] Diffuse Intestinal <NA> <NA> Intestinal <NA>
## [13] Intestinal Intestinal <NA> Diffuse Intestinal Intestinal
## [19] Intestinal <NA> <NA> Diffuse <NA> <NA>
## [25] NA Intestinal Intestinal <NA> <NA> <NA>
## [31] Intestinal Mixed <NA> Intestinal Intestinal Diffuse
## [37] Diffuse Intestinal Intestinal Intestinal <NA> Intestinal
## [43] Intestinal <NA> Intestinal <NA> Intestinal Diffuse
## [49] Intestinal <NA> Intestinal Intestinal Diffuse Diffuse
## [55] NA <NA> Mixed <NA> Intestinal <NA>
## [61] <NA> Diffuse Intestinal Intestinal <NA> Mixed
## [67] Intestinal Intestinal Intestinal Intestinal <NA> Diffuse
## [73] Intestinal Intestinal Intestinal Intestinal Intestinal <NA>
## [79] Intestinal <NA> Mixed Diffuse <NA> Diffuse
## [85] <NA> Diffuse <NA> Intestinal Intestinal Intestinal
## [91] Intestinal Intestinal Intestinal <NA> Intestinal Intestinal
## [97] Diffuse Intestinal Diffuse Intestinal Intestinal <NA>
## [103] <NA> Intestinal <NA> Intestinal Diffuse Intestinal
## [109] Mixed <NA> Intestinal Diffuse Diffuse <NA>
## [115] Intestinal Intestinal Intestinal Intestinal Intestinal Diffuse
## [121] Intestinal Intestinal <NA> <NA> Diffuse Diffuse
## [127] NA Intestinal <NA> Diffuse Diffuse Mixed
## [133] <NA> Intestinal Intestinal Diffuse Intestinal <NA>
## [139] Intestinal Intestinal Intestinal Intestinal Intestinal Diffuse
## [145] Intestinal <NA> NA Intestinal Intestinal Mixed
## [151] <NA> <NA> Intestinal Intestinal Intestinal Intestinal
## [157] <NA> Intestinal Intestinal <NA> <NA> Intestinal
## [163] <NA> <NA> Diffuse <NA> Intestinal <NA>
## [169] Mixed <NA> <NA> Diffuse Diffuse <NA>
## [175] Intestinal Diffuse Intestinal <NA> <NA> Intestinal
## [181] <NA> Intestinal <NA> Intestinal NA Diffuse
## [187] <NA> <NA> Intestinal <NA> <NA> <NA>
## [193] Mixed NA Mixed Intestinal <NA> <NA>
## [199] <NA> Diffuse Intestinal Intestinal <NA> Diffuse
## [205] Diffuse <NA> Intestinal <NA> <NA> <NA>
## [211] Intestinal <NA> <NA> Diffuse Intestinal Intestinal
## [217] Diffuse Intestinal <NA> <NA> Intestinal Intestinal
## [223] Diffuse Diffuse Diffuse Intestinal <NA> <NA>
## [229] <NA> Intestinal Intestinal Intestinal <NA> Intestinal
## [235] Diffuse <NA> Intestinal Diffuse Intestinal Mixed
## [241] Diffuse Intestinal <NA> Intestinal Intestinal Intestinal
## [247] <NA> Diffuse Diffuse <NA> Mixed <NA>
## [253] Mixed Intestinal Intestinal Intestinal Intestinal Diffuse
## [259] <NA> Diffuse Intestinal Intestinal Intestinal <NA>
## [265] Diffuse Intestinal <NA> Diffuse <NA> <NA>
## [271] <NA> <NA> <NA> Intestinal Intestinal <NA>
## [277] Intestinal NA <NA> <NA> <NA> NA
## [283] <NA> Intestinal <NA> <NA> <NA> <NA>
## [289] <NA> Mixed Intestinal <NA> <NA> <NA>
## [295] Diffuse Intestinal Intestinal <NA> Intestinal <NA>
## [301] Intestinal <NA> Intestinal Diffuse <NA> <NA>
## [307] <NA> Intestinal Intestinal Intestinal Diffuse Intestinal
## [313] <NA> Intestinal Intestinal Intestinal Intestinal <NA>
## [319] Intestinal Diffuse Intestinal Intestinal <NA> Intestinal
## [325] Intestinal Diffuse Intestinal Intestinal Intestinal <NA>
## [331] Diffuse <NA> Diffuse Diffuse Intestinal Intestinal
## [337] <NA> Intestinal Intestinal Intestinal Intestinal Intestinal
## [343] Mixed Intestinal Intestinal <NA> NA Intestinal
## [349] <NA> <NA> Mixed Diffuse <NA> Diffuse
## [355] Intestinal Intestinal Diffuse <NA> <NA> Intestinal
## [361] <NA> Intestinal <NA> Diffuse <NA> <NA>
## [367] Intestinal NA <NA> Intestinal Intestinal <NA>
## [373] Diffuse Intestinal Intestinal Intestinal <NA> Diffuse
## [379] <NA> <NA> NA Intestinal <NA> Intestinal
## [385] <NA> Intestinal Intestinal <NA> Intestinal <NA>
## [391] <NA> Diffuse Diffuse <NA> <NA> <NA>
## [397] Intestinal Intestinal Intestinal Intestinal Intestinal Intestinal
## [403] Intestinal Intestinal Intestinal Mixed Intestinal Intestinal
## [409] Diffuse Mixed Intestinal Intestinal Intestinal <NA>
## [415] Intestinal
## Levels: Diffuse Intestinal Mixed NA
rse$paper_Age.at.Initial.Diagnosis
## [1] 74.82 58.62 54.93 53.84 53.82 67 56.92 59.86 <NA> <NA> 75.42 <NA>
## [13] 59.19 81.33 <NA> 78.9 75.56 70.8 71.98 <NA> <NA> 82.99 <NA> <NA>
## [25] 66.42 60.79 62.4 <NA> <NA> <NA> 76.84 63.12 <NA> 63.2 67.06 75.55
## [37] 53.47 59.49 74.24 73.32 <NA> 65.15 75.55 <NA> 57.06 <NA> 58.35 83.17
## [49] 64.3 <NA> 72.48 76.8 64.64 55.19 64.25 <NA> 62.15 <NA> 73.02 <NA>
## [61] <NA> 62.65 45.55 87.68 <NA> 62.8 70.28 49.58 69.26 62.4 <NA> 69.09
## [73] 69.83 54.36 68.12 49.1 80.46 <NA> 69.21 <NA> 75.87 66.95 <NA> 69.22
## [85] <NA> 39.58 <NA> 68.17 82.62 77.46 49.19 70.76 76.69 <NA> 51 66.74
## [97] 60.22 65.48 47.95 59.79 79.63 <NA> <NA> 79.97 <NA> 52.8 58.77 72.31
## [109] 71.91 <NA> 51.2 72.05 70.89 <NA> 63.25 72.56 67.02 83.58 50.39 51.98
## [121] 78.07 58.3 <NA> <NA> 50.7 54.93 60.77 78.93 <NA> 76.37 74.41 70.03
## [133] <NA> NA 72.1 58.11 57.33 <NA> 70.61 71.82 61.02 71.97 79.55 76.97
## [145] 73.92 <NA> 77.49 62.5 71.45 54.8 <NA> <NA> 53.09 62.83 65.65 53.85
## [157] <NA> 66.68 75.34 <NA> <NA> 70.99 <NA> <NA> 43.77 <NA> 57.14 <NA>
## [169] 71.31 <NA> <NA> 51.19 60.06 <NA> 74.01 48.08 58.92 <NA> <NA> 72.4
## [181] <NA> 90 <NA> 55.16 56.75 65.1 <NA> <NA> 86.75 <NA> <NA> <NA>
## [193] 80.06 71.18 79.75 74.49 <NA> <NA> <NA> 69.6 57.08 76.76 <NA> 70.43
## [205] 69.47 <NA> 69.67 <NA> <NA> <NA> 49.75 <NA> <NA> 54.07 68.66 66.22
## [217] 41.69 70.08 <NA> <NA> NA 72.72 71.66 63.34 65.7 64.1 <NA> <NA>
## [229] <NA> 77.24 58.16 61.83 <NA> 57.39 69.53 <NA> 84.92 68.92 71.73 68.53
## [241] 61.45 75.31 <NA> 62.21 63.92 61.02 <NA> 61.74 67.59 <NA> 68.02 <NA>
## [253] 80.48 58.66 77.25 64.07 56.33 72.58 <NA> 56.49 73.1 69 81.34 <NA>
## [265] 42.13 90 <NA> 78.33 <NA> <NA> <NA> <NA> <NA> 73.49 60.93 <NA>
## [277] 80.49 73.86 <NA> <NA> <NA> 68.92 <NA> 90 <NA> <NA> <NA> <NA>
## [289] <NA> 72.62 82.15 <NA> <NA> <NA> 34.5 74.17 65.05 <NA> 56.67 <NA>
## [301] 58.11 <NA> 76.71 72.79 <NA> <NA> <NA> 57.79 64.08 66.04 74.53 79.43
## [313] <NA> 70.9 54.66 65.33 78.75 <NA> 67 55.24 76.42 53.3 <NA> 52.47
## [325] 67.73 45.71 83.42 57.68 59.5 <NA> 55.01 <NA> 43.98 68.65 79.95 69.91
## [337] <NA> 74.71 70.19 71.88 72.88 45.97 55.97 58.87 63.65 <NA> 78.77 67.77
## [349] <NA> <NA> 59.58 45.27 <NA> 72.68 74.87 73.99 59.05 <NA> <NA> 58.85
## [361] <NA> 56.79 <NA> 58.91 <NA> <NA> 69.06 51.59 <NA> 68.41 75.22 <NA>
## [373] 53.13 65.01 NA 69.34 <NA> 52 <NA> <NA> 84.53 74.65 <NA> 70.95
## [385] <NA> 71.82 70.68 <NA> 62.18 <NA> <NA> 60.58 46.9 <NA> <NA> <NA>
## [397] 85.83 77.25 75.37 60.05 80.6 58.94 70.67 63.36 81.42 78 63.7 68.42
## [409] 58.75 51.18 56.71 90 44.22 <NA> 59.03
## 278 Levels: 34.5 39.58 41.69 41.93 42.13 43.77 43.98 44.22 45.27 45.55 ... NA
rse$paper_ARID1A.mutation
## [1] 1 0 1 1 0 0 1 1 <NA> <NA> 0 <NA> 0 0 <NA>
## [16] NA 1 1 0 <NA> <NA> 0 <NA> <NA> 1 0 1 <NA> <NA> <NA>
## [31] 0 0 <NA> 0 0 0 1 0 0 1 <NA> NA 0 <NA> 0
## [46] <NA> 0 1 0 <NA> 1 0 1 0 1 <NA> 1 <NA> 1 <NA>
## [61] <NA> 0 1 0 <NA> 0 0 NA 1 0 <NA> 1 0 0 0
## [76] 0 0 <NA> 0 <NA> 0 0 <NA> 0 <NA> 0 <NA> 1 0 1
## [91] 0 0 0 <NA> 0 0 0 1 0 0 1 <NA> <NA> 0 <NA>
## [106] 0 0 0 1 <NA> 0 0 0 <NA> 0 0 0 0 0 1
## [121] 0 0 <NA> <NA> 0 0 1 1 <NA> 0 1 0 <NA> 0 0
## [136] 0 0 <NA> 1 0 0 0 1 0 1 <NA> 1 0 1 0
## [151] <NA> <NA> 0 0 0 1 <NA> 1 0 <NA> <NA> 0 <NA> <NA> 0
## [166] <NA> 0 <NA> 1 <NA> <NA> 1 0 <NA> 0 0 0 <NA> <NA> 0
## [181] <NA> 1 <NA> 1 1 1 <NA> <NA> 0 <NA> <NA> <NA> 0 1 1
## [196] 1 <NA> <NA> <NA> 1 0 0 <NA> 1 1 <NA> 0 <NA> <NA> <NA>
## [211] 0 <NA> <NA> 0 0 0 0 1 <NA> <NA> 0 0 0 0 0
## [226] 0 <NA> <NA> <NA> 0 1 0 <NA> 0 0 <NA> 0 0 1 0
## [241] 0 0 <NA> 0 1 1 <NA> 0 0 <NA> 0 <NA> 0 0 0
## [256] 1 0 0 <NA> 0 0 0 0 <NA> 0 1 <NA> 1 <NA> <NA>
## [271] <NA> <NA> <NA> 0 0 <NA> 1 1 <NA> <NA> <NA> 0 <NA> 0 <NA>
## [286] <NA> <NA> <NA> <NA> 1 0 <NA> <NA> <NA> 0 1 0 <NA> 0 <NA>
## [301] 0 <NA> 1 0 <NA> <NA> <NA> 0 0 1 1 0 <NA> 0 0
## [316] 0 0 <NA> 1 0 0 0 <NA> 0 1 0 1 0 0 <NA>
## [331] NA <NA> 0 0 0 0 <NA> 1 0 1 0 0 0 0 1
## [346] <NA> 1 1 <NA> <NA> 0 0 <NA> 0 1 1 0 <NA> <NA> 0
## [361] <NA> 0 <NA> 0 <NA> <NA> 0 1 <NA> 1 1 <NA> 0 0 1
## [376] 0 <NA> 0 <NA> <NA> 1 0 <NA> 1 <NA> 0 0 <NA> 0 <NA>
## [391] <NA> 0 0 <NA> <NA> <NA> 1 0 1 1 1 0 0 0 0
## [406] 1 1 0 0 0 NA 0 0 <NA> 0
## Levels: 0 1 NA
rse$paper_CDKN2A.Epigenetically.Silenced
## [1] false false false false false true true true <NA> <NA> false <NA>
## [13] NA NA <NA> NA NA true NA <NA> <NA> false <NA> <NA>
## [25] NA true true <NA> <NA> <NA> NA true <NA> true false false
## [37] true false false false <NA> true false <NA> NA <NA> true false
## [49] false <NA> false false true true true <NA> false <NA> NA <NA>
## [61] <NA> false false NA <NA> false false NA NA false <NA> NA
## [73] NA NA false false false <NA> false <NA> false true <NA> false
## [85] <NA> true <NA> false true true false true NA <NA> false false
## [97] false false false false false <NA> <NA> false <NA> false false false
## [109] NA <NA> NA true false <NA> true NA false false true false
## [121] NA NA <NA> <NA> false false NA true <NA> NA NA NA
## [133] <NA> false false false NA <NA> true false true false true false
## [145] false <NA> true false true false <NA> <NA> false false false true
## [157] <NA> NA NA <NA> <NA> true <NA> <NA> false <NA> false <NA>
## [169] true <NA> <NA> false false <NA> false false true <NA> <NA> false
## [181] <NA> true <NA> true true false <NA> <NA> false <NA> <NA> <NA>
## [193] true true false true <NA> <NA> <NA> true false false <NA> false
## [205] true <NA> false <NA> <NA> <NA> false <NA> <NA> false false NA
## [217] false NA <NA> <NA> false NA false false NA false <NA> <NA>
## [229] <NA> false false false <NA> true false <NA> NA false NA NA
## [241] false NA <NA> true true false <NA> false NA <NA> false <NA>
## [253] true NA false true NA NA <NA> NA false true true <NA>
## [265] false NA <NA> false <NA> <NA> <NA> <NA> <NA> false NA <NA>
## [277] NA true <NA> <NA> <NA> NA <NA> false <NA> <NA> <NA> <NA>
## [289] <NA> false NA <NA> <NA> <NA> false false NA <NA> NA <NA>
## [301] true <NA> true false <NA> <NA> <NA> false false false false NA
## [313] <NA> false false false false <NA> false false NA false <NA> true
## [325] false false true false false <NA> false <NA> NA true false true
## [337] <NA> false true false false true false false true <NA> NA true
## [349] <NA> <NA> false false <NA> false NA false false <NA> <NA> false
## [361] <NA> false <NA> false <NA> <NA> false true <NA> true false <NA>
## [373] false false true true <NA> false <NA> <NA> false false <NA> false
## [385] <NA> true false <NA> false <NA> <NA> false false <NA> <NA> <NA>
## [397] NA false true true NA NA false false NA true false NA
## [409] false false false false true <NA> false
## Levels: false NA true
rse$paper_Country
## [1] Vietnam Russia Korea_South Korea_South Russia
## [6] Germany Korea_South Russia <NA> <NA>
## [11] Vietnam <NA> Ukraine Germany <NA>
## [16] Russia Ukraine Russia Russia <NA>
## [21] <NA> Vietnam <NA> <NA> Russia
## [26] Russia Russia <NA> <NA> <NA>
## [31] Germany Ukraine <NA> Russia Russia
## [36] Poland Poland Russia United_States Poland
## [41] <NA> Russia Korea_South <NA> Vietnam
## [46] <NA> Vietnam Germany Poland <NA>
## [51] Russia Ukraine Ukraine Ukraine Ukraine
## [56] <NA> Ukraine <NA> Russia <NA>
## [61] <NA> Ukraine Vietnam Russia <NA>
## [66] Russia Russia Germany Germany Poland
## [71] <NA> Germany Germany Ukraine Vietnam
## [76] Vietnam Poland <NA> Ukraine <NA>
## [81] Poland Vietnam <NA> Ukraine <NA>
## [86] Vietnam <NA> United_States Korea_South Korea_South
## [91] Russia United_States Korea_South <NA> Vietnam
## [96] Germany Vietnam Russia Vietnam Ukraine
## [101] United_States <NA> <NA> United_States <NA>
## [106] Vietnam Poland Russia United_States <NA>
## [111] Russia Korea_South Vietnam <NA> Russia
## [116] Vietnam Poland Germany United_States Vietnam
## [121] Russia Russia <NA> <NA> Russia
## [126] Russia Russia Russia <NA> Russia
## [131] Russia Ukraine <NA> Canada Russia
## [136] Russia Germany <NA> Korea_South Korea_South
## [141] Poland United_States Russia Korea_South Germany
## [146] <NA> United_States Russia Russia Poland
## [151] <NA> <NA> Poland United_States Vietnam
## [156] Poland <NA> Russia Germany <NA>
## [161] <NA> Ukraine <NA> <NA> Vietnam
## [166] <NA> Poland <NA> Ukraine <NA>
## [171] <NA> Russia Russia <NA> Ukraine
## [176] United_States Korea_South <NA> <NA> Korea_South
## [181] <NA> United_States <NA> United_States Russia
## [186] Poland <NA> <NA> Vietnam <NA>
## [191] <NA> <NA> United_States Russia United_States
## [196] Korea_South <NA> <NA> <NA> Poland
## [201] Russia Russia <NA> Ukraine Vietnam
## [206] <NA> Ukraine <NA> <NA> <NA>
## [211] United_States <NA> <NA> Russia Germany
## [216] Korea_South Vietnam Germany <NA> <NA>
## [221] Canada Russia Germany Russia Ukraine
## [226] Poland <NA> <NA> <NA> Russia
## [231] Germany Russia <NA> Poland Ukraine
## [236] <NA> Germany United_States Korea_South United_States
## [241] Vietnam Russia <NA> Vietnam Russia
## [246] Korea_South <NA> Russia Germany <NA>
## [251] Russia <NA> Ukraine Germany United_States
## [256] Ukraine Germany Germany <NA> Russia
## [261] Korea_South Vietnam Russia <NA> Russia
## [266] Germany <NA> Vietnam <NA> <NA>
## [271] <NA> <NA> <NA> Vietnam Russia
## [276] <NA> Russia Russia <NA> <NA>
## [281] <NA> Germany <NA> Vietnam <NA>
## [286] <NA> <NA> <NA> <NA> Russia
## [291] Vietnam <NA> <NA> <NA> Vietnam
## [296] Russia Russia <NA> Korea_South <NA>
## [301] Poland <NA> Vietnam Poland <NA>
## [306] <NA> <NA> Vietnam Russia Poland
## [311] Ukraine Russia <NA> United_States Germany
## [316] Russia Germany <NA> Russia Russia
## [321] Germany Poland <NA> Vietnam Ukraine
## [326] Vietnam Germany Ukraine Ukraine <NA>
## [331] Ukraine <NA> Russia Ukraine Vietnam
## [336] United_States <NA> Russia Russia Korea_South
## [341] Poland Korea_South Ukraine Russia Poland
## [346] <NA> Russia Korea_South <NA> <NA>
## [351] Germany Vietnam <NA> Russia Russia
## [356] Korea_South United_States <NA> <NA> Korea_South
## [361] <NA> Poland <NA> Vietnam <NA>
## [366] <NA> Korea_South Ukraine <NA> Russia
## [371] Korea_South <NA> Ukraine Ukraine Canada
## [376] Russia <NA> Vietnam <NA> <NA>
## [381] Ukraine Korea_South <NA> Korea_South <NA>
## [386] Korea_South Poland <NA> Korea_South <NA>
## [391] <NA> Poland Russia <NA> <NA>
## [396] <NA> Germany Poland Ukraine Vietnam
## [401] Russia Russia Poland Poland Germany
## [406] United_States Vietnam Germany Germany Vietnam
## [411] Vietnam Russia Poland <NA> Vietnam
## 8 Levels: Canada Germany Korea_South Poland Russia Ukraine ... Vietnam
rse$paper_Days.to.Death
## [1] NA NA NA NA NA NA NA 422 <NA> <NA> 292 <NA> NA NA <NA>
## [16] NA NA NA NA <NA> <NA> NA <NA> <NA> NA NA NA <NA> <NA> <NA>
## [31] NA 518 <NA> NA 279 NA NA NA NA NA <NA> NA NA <NA> NA
## [46] <NA> NA NA NA <NA> 439 NA NA NA NA <NA> 466 <NA> NA <NA>
## [61] <NA> 350 NA NA <NA> NA NA NA NA 312 <NA> 273 NA NA NA
## [76] NA NA <NA> NA <NA> NA NA <NA> NA <NA> NA <NA> NA NA NA
## [91] NA NA NA <NA> NA 2100 NA NA NA NA NA <NA> <NA> 2197 <NA>
## [106] NA NA NA 777 <NA> 187 NA NA <NA> NA NA NA 426 NA 98
## [121] 201 NA <NA> <NA> NA NA NA NA <NA> NA NA NA <NA> NA NA
## [136] NA NA <NA> NA NA NA 243 NA NA 850 <NA> NA NA NA 445
## [151] <NA> <NA> NA NA NA NA <NA> 940 NA <NA> <NA> NA <NA> <NA> NA
## [166] <NA> NA <NA> NA <NA> <NA> NA NA <NA> 82 153 NA <NA> <NA> NA
## [181] <NA> NA <NA> NA NA NA <NA> <NA> NA <NA> <NA> <NA> NA NA NA
## [196] NA <NA> <NA> <NA> NA 81 NA <NA> 448 NA <NA> NA <NA> <NA> <NA>
## [211] 1796 <NA> <NA> NA 243 180 NA 215 <NA> <NA> NA NA 0 NA NA
## [226] NA <NA> <NA> <NA> NA NA NA <NA> NA NA <NA> NA 20 3 128
## [241] NA NA <NA> NA NA NA <NA> NA NA <NA> NA <NA> NA NA 99
## [256] NA NA 0 <NA> 141 NA 386 NA <NA> NA 31 <NA> NA <NA> <NA>
## [271] <NA> <NA> <NA> NA NA <NA> NA NA <NA> <NA> <NA> 122 <NA> NA <NA>
## [286] <NA> <NA> <NA> <NA> 245 NA <NA> <NA> <NA> NA NA NA <NA> NA <NA>
## [301] 406 <NA> NA NA <NA> <NA> <NA> NA NA NA NA NA <NA> NA NA
## [316] NA 1095 <NA> NA NA NA NA <NA> NA NA NA NA 558 NA <NA>
## [331] NA <NA> 291 741 NA NA <NA> 525 NA NA NA NA NA NA NA
## [346] <NA> NA NA <NA> <NA> 335 NA <NA> 291 NA NA 105 <NA> <NA> NA
## [361] <NA> NA <NA> NA <NA> <NA> NA NA <NA> NA NA <NA> NA NA NA
## [376] NA <NA> NA <NA> <NA> NA NA <NA> NA <NA> NA NA <NA> NA <NA>
## [391] <NA> NA NA <NA> <NA> <NA> NA NA NA NA NA NA NA NA NA
## [406] 335 5 NA 211 NA NA NA NA <NA> NA
## 52 Levels: 0 10 105 1095 122 128 141 153 16 1796 180 187 20 201 2100 ... NA
rse$paper_Days.to.Last.Follow.up
## [1] 0 21 170 544 537 0 595 399 <NA> <NA> 10 <NA> 202 580 <NA>
## [16] 0 0 373 0 <NA> <NA> 61 <NA> <NA> 0 388 356 <NA> <NA> <NA>
## [31] 699 372 <NA> 5 19 582 543 569 76 508 <NA> 11 23 <NA> 0
## [46] <NA> 386 3196 353 <NA> 25 407 3 7 423 <NA> 5 <NA> 0 <NA>
## [61] <NA> 3 468 0 <NA> 65 51 365 485 312 <NA> NA 0 308 0
## [76] 6 385 <NA> 0 <NA> 6 0 <NA> 99 <NA> 6 <NA> 17 368 270
## [91] 394 591 431 <NA> 406 1674 0 23 389 432 412 <NA> <NA> NA <NA>
## [106] 0 566 22 NA <NA> 0 64 413 <NA> 21 0 523 NA 645 5
## [121] 0 0 <NA> <NA> 21 484 0 257 <NA> 0 0 377 <NA> 0 42
## [136] 23 242 <NA> 323 176 104 237 414 8 NA <NA> 569 468 331 211
## [151] <NA> <NA> 321 372 0 383 <NA> 0 92 <NA> <NA> 0 <NA> <NA> 0
## [166] <NA> 516 <NA> 0 <NA> <NA> 171 679 <NA> 6 NA 347 <NA> <NA> 143
## [181] <NA> 171 <NA> 307 480 564 <NA> <NA> 0 <NA> <NA> <NA> 524 12 485
## [196] 374 <NA> <NA> <NA> 180 8 5 <NA> 5 468 <NA> 240 <NA> <NA> <NA>
## [211] NA <NA> <NA> 565 NA NA 0 NA <NA> <NA> 0 0 NA 12 0
## [226] 603 <NA> <NA> <NA> 28 182 21 <NA> 592 411 <NA> 822 NA NA 7
## [241] 0 0 <NA> 0 582 912 <NA> 331 0 <NA> 9 <NA> 17 942 5
## [256] 12 1644 NA <NA> 0 809 386 438 <NA> 674 NA <NA> 0 <NA> <NA>
## [271] <NA> <NA> <NA> 0 47 <NA> 0 10 <NA> <NA> <NA> NA <NA> 0 <NA>
## [286] <NA> <NA> <NA> <NA> 22 0 <NA> <NA> <NA> 396 378 0 <NA> 692 <NA>
## [301] 406 <NA> 0 528 <NA> <NA> <NA> 6 378 126 0 0 <NA> 455 0
## [316] 469 31 <NA> 25 23 1431 573 <NA> 459 472 6 245 183 0 <NA>
## [331] 0 <NA> 0 383 0 594 <NA> 308 642 360 131 462 390 0 449
## [346] <NA> 0 736 <NA> <NA> NA 78 <NA> 15 0 190 NA <NA> <NA> 400
## [361] <NA> 379 <NA> 0 <NA> <NA> 785 0 <NA> 0 358 <NA> 369 429 0
## [376] 475 <NA> 0 <NA> <NA> 92 99 <NA> 310 <NA> 198 463 <NA> 253 <NA>
## [391] <NA> 119 286 <NA> <NA> <NA> 0 354 338 0 0 45 465 403 576
## [406] 0 NA 912 NA 0 383 614 741 <NA> 0
## 159 Levels: 0 1 10 104 11 119 12 122 126 131 143 1431 15 16 1644 1674 17 ... NA
#BCR Biotab for clinical tcga
querycli_STAD<-GDCquery(project = "TCGA-STAD",
data.category = "Clinical",
data.type = "Clinical Supplement",
data.format = "BCR Biotab")
GDCdownload(querycli_STAD)
clinical.BCRtab.STAD <- GDCprepare(querycli_STAD)
##
|
| | 0%
|
|============ | 17%
|
|======================= | 33%
|
|=================================== | 50%
|
|=============================================== | 67%
|
|========================================================== | 83%
|
|======================================================================| 100%
# All available tables
names(clinical.BCRtab.STAD)
## [1] "clinical_patient_stad" "clinical_nte_stad"
## [3] "clinical_omf_v4.0_stad" "clinical_radiation_stad"
## [5] "clinical_drug_stad" "clinical_follow_up_v1.0_stad"
# colnames from clinical_patient_stad
tibble::tibble(sort(colnames(clinical.BCRtab.STAD$clinical_patient_stad)))
## # A tibble: 63 × 1
## `sort(colnames(clinical.BCRtab.STAD$clinical_patient_stad))`
## <chr>
## 1 age_at_initial_pathologic_diagnosis
## 2 ajcc_metastasis_pathologic_pm
## 3 ajcc_nodes_pathologic_pn
## 4 ajcc_pathologic_tumor_stage
## 5 ajcc_staging_edition
## 6 ajcc_tumor_pathologic_pt
## 7 anatomic_neoplasm_subdivision
## 8 anatomic_neoplasm_subdivision_other
## 9 antireflux_treatment
## 10 antireflux_treatment_type
## # … with 53 more rows
# pathologic tuimor stage status count
plyr::count(clinical.BCRtab.STAD$clinical_patient_stad$ajcc_pathologic_tumor_stage)
## x freq
## 1 [Discrepancy] 11
## 2 [Not Available] 16
## 3 CDE_ID:3203222 1
## 4 pathologic_stage 1
## 5 Stage I 2
## 6 Stage IA 16
## 7 Stage IB 41
## 8 Stage II 33
## 9 Stage IIA 41
## 10 Stage IIB 56
## 11 Stage III 3
## 12 Stage IIIA 79
## 13 Stage IIIB 63
## 14 Stage IIIC 38
## 15 Stage IV 44
# subset for custom clinical
barcode<-data.frame(rse$paper_patient)
sex<-data.frame(rse$paper_Gender)
T_stage<-data.frame(rse$paper_Pathologic.T)
N_stage<-data.frame(rse$paper_Pathologic.N)
M_stage<-data.frame(rse$paper_Pathologic.M)
TCGA_sub<-data.frame(rse$paper_Molecular.Subtype)
lauren_sub<-data.frame(rse$paper_Lauren.Class)
age<-data.frame(rse$paper_Age.at.Initial.Diagnosis)
vital_sta<-data.frame(rse$paper_Vital.Status)
Days.to.Death<-data.frame(rse$paper_Days.to.Death)
Days.to.Last.Follow.up<-data.frame(rse$paper_Days.to.Last.Follow.up)
Days.to.Recurrence<-data.frame(rse$paper_Days.to.Recurrence)
ARID1A_mut<-data.frame(rse$paper_ARID1A.mutation)
KRAS_mut<-data.frame(rse$paper_KRAS.mutation)
PIK3CA_mut<-data.frame(rse$paper_PIK3CA.mutation)
RHOA_mut<-data.frame(rse$paper_RHOA.mutation)
TP53_mut<-data.frame(rse$paper_TP53.mutation)
customeclinSTAD<-cbind(barcode,
sex,
T_stage,
N_stage,
M_stage,
TCGA_sub,
lauren_sub,
age,
vital_sta,
Days.to.Death,
Days.to.Last.Follow.up,
Days.to.Recurrence,
ARID1A_mut,
KRAS_mut,
PIK3CA_mut,
RHOA_mut,
TP53_mut)
create_dt(customeclinSTAD)
#make barcode same with clinical
colnames(dataFilt)<-substr(colnames(dataFilt),1,12)
#transpose
t.dataFilt<-(t(dataFilt))
t.dataFilt<-as.data.frame(t.dataFilt) %>%
mutate(rse.paper_patient=row.names(t.dataFilt))
dim(t.dataFilt)
## [1] 415 14900
t.dataFilt<-t.dataFilt %>%
select(14900,1:14899)
# since we only require FAM86A, PRMT1, and CAMKMT, and no need to perform exploratory analysis (yet)
# how about just subset only these genes (lighter processing)
t.dataFilt<-t.dataFilt %>%
select(1,'FAM86A','C2orf34','PRMT1')
#leftjoin to other parameter
t.dataFilt<-t.dataFilt %>%
left_join(customeclinSTAD)
create_dt(t.dataFilt)
# Plotting expression based on subtype
sub_TCGA<-t.dataFilt
head(sub_TCGA)
## rse.paper_patient FAM86A C2orf34 PRMT1 rse.paper_Gender
## 1 TCGA-3M-AB46 1847 519 5152 <NA>
## 2 TCGA-3M-AB47 919 280 3545 <NA>
## 3 TCGA-B7-5816 943 382 5201 FEMALE
## 4 TCGA-B7-5818 794 668 6562 MALE
## 5 TCGA-B7-A5TI 1041 323 4454 <NA>
## 6 TCGA-B7-A5TJ 1242 707 2968 <NA>
## rse.paper_Pathologic.T rse.paper_Pathologic.N rse.paper_Pathologic.M
## 1 <NA> <NA> <NA>
## 2 <NA> <NA> <NA>
## 3 T4a N0 M0
## 4 T2 N0 M0
## 5 <NA> <NA> <NA>
## 6 <NA> <NA> <NA>
## rse.paper_Molecular.Subtype rse.paper_Lauren.Class
## 1 <NA> <NA>
## 2 <NA> <NA>
## 3 MSI Diffuse
## 4 EBV Intestinal
## 5 <NA> <NA>
## 6 <NA> <NA>
## rse.paper_Age.at.Initial.Diagnosis rse.paper_Vital.Status
## 1 <NA> <NA>
## 2 <NA> <NA>
## 3 51.19 LIVING
## 4 62.4 LIVING
## 5 <NA> <NA>
## 6 <NA> <NA>
## rse.paper_Days.to.Death rse.paper_Days.to.Last.Follow.up
## 1 <NA> <NA>
## 2 <NA> <NA>
## 3 NA 171
## 4 NA 356
## 5 <NA> <NA>
## 6 <NA> <NA>
## rse.paper_Days.to.Recurrence rse.paper_ARID1A.mutation
## 1 <NA> <NA>
## 2 <NA> <NA>
## 3 NA 1
## 4 NA 1
## 5 <NA> <NA>
## 6 <NA> <NA>
## rse.paper_KRAS.mutation rse.paper_PIK3CA.mutation rse.paper_RHOA.mutation
## 1 <NA> <NA> <NA>
## 2 <NA> <NA> <NA>
## 3 0 1 0
## 4 0 1 0
## 5 <NA> <NA> <NA>
## 6 <NA> <NA> <NA>
## rse.paper_TP53.mutation
## 1 <NA>
## 2 <NA>
## 3 0
## 4 1
## 5 <NA>
## 6 <NA>
sub_TCGA<-sub_TCGA %>%
mutate(log2.FAM86A=log(FAM86A),
log2.CAMKMT=log(C2orf34),
log2.PRMT1=log(PRMT1))
colnames(sub_TCGA)
## [1] "rse.paper_patient" "FAM86A"
## [3] "C2orf34" "PRMT1"
## [5] "rse.paper_Gender" "rse.paper_Pathologic.T"
## [7] "rse.paper_Pathologic.N" "rse.paper_Pathologic.M"
## [9] "rse.paper_Molecular.Subtype" "rse.paper_Lauren.Class"
## [11] "rse.paper_Age.at.Initial.Diagnosis" "rse.paper_Vital.Status"
## [13] "rse.paper_Days.to.Death" "rse.paper_Days.to.Last.Follow.up"
## [15] "rse.paper_Days.to.Recurrence" "rse.paper_ARID1A.mutation"
## [17] "rse.paper_KRAS.mutation" "rse.paper_PIK3CA.mutation"
## [19] "rse.paper_RHOA.mutation" "rse.paper_TP53.mutation"
## [21] "log2.FAM86A" "log2.CAMKMT"
## [23] "log2.PRMT1"
#by T
sub_TCGA<-sub_TCGA %>%
mutate(T2 = case_when(rse.paper_Pathologic.T == 'T1' ~ 'T1',
rse.paper_Pathologic.T == 'T1a' ~ 'T1',
rse.paper_Pathologic.T == 'T1b' ~ 'T1',
rse.paper_Pathologic.T == 'T2' ~ 'T2',
rse.paper_Pathologic.T == 'T2a' ~ 'T2',
rse.paper_Pathologic.T == 'T2b' ~ 'T2',
rse.paper_Pathologic.T == 'T3' ~ 'T3',
rse.paper_Pathologic.T == 'T4' ~ 'T4',
rse.paper_Pathologic.T == 'T4a' ~ 'T4',
rse.paper_Pathologic.T == 'T4b' ~ 'T4'))
ggplot(data=subset(sub_TCGA, !is.na(T2)),aes(x=T2,y=log2.FAM86A,fill=T2))+
stat_boxplot(geom ='errorbar',width=.2) +
geom_jitter(colour='gray90',alpha=.8,width = .2)+
geom_boxplot(width=.6)+
theme_Publication()+
scale_fill_aziz()+
scale_y_continuous(expand=expand_scale(mult = c(0.1,0.2)))+
theme(axis.text = element_text(family = "Arial",color="black"),
axis.title.y = element_text(vjust = 2.5),
axis.text.x = element_text(angle = 45,vjust = 1, hjust=1),
legend.position = 'none',
aspect.ratio = 1.5,
panel.grid.major.x = element_blank())+
labs(y=expression('FAM86A expression (log'[2]*")"),x=NULL)

kruskal.test(log2.FAM86A ~ T2, data = sub_TCGA)
##
## Kruskal-Wallis rank sum test
##
## data: log2.FAM86A by T2
## Kruskal-Wallis chi-squared = 0.32413, df = 3, p-value = 0.9554
pairwise.wilcox.test((sub_TCGA$log2.FAM86A), sub_TCGA$T2,paired=FALSE,
p.adjust.method = "BH")
##
## Pairwise comparisons using Wilcoxon rank sum test with continuity correction
##
## data: (sub_TCGA$log2.FAM86A) and sub_TCGA$T2
##
## T1 T2 T3
## T2 0.89 - -
## T3 0.89 0.89 -
## T4 0.89 0.89 0.89
##
## P value adjustment method: BH
#by N
sub_TCGA<-sub_TCGA %>%
mutate(N2 = case_when(rse.paper_Pathologic.N == 'N0' ~ 'N0',
rse.paper_Pathologic.N == 'N1' ~ 'N1',
rse.paper_Pathologic.N == 'N2' ~ 'N2',
rse.paper_Pathologic.N == 'N3' ~ 'N3',
rse.paper_Pathologic.N == 'N3a' ~ 'N3',
rse.paper_Pathologic.N == 'N3b' ~ 'N3'))
ggplot(data=subset(sub_TCGA, !is.na(N2)),aes(x=N2,y=log2.FAM86A,fill=N2))+
stat_boxplot(geom ='errorbar',width=.2) +
geom_jitter(colour='gray90',alpha=.8,width = .2)+
geom_boxplot(width=.6)+
theme_Publication()+
scale_fill_aziz()+
scale_y_continuous(expand=expand_scale(mult = c(0.1,0.2)))+
theme(axis.text = element_text(family = "Arial",color="black"),
axis.title.y = element_text(vjust = 2.5),
axis.text.x = element_text(angle = 45,vjust = 1, hjust=1),
legend.position = 'none',
aspect.ratio = 1.5,
panel.grid.major.x = element_blank())+
labs(y=expression('FAM86A expression (log'[2]*")"),x=NULL)

kruskal.test(log2.FAM86A ~ N2, data = sub_TCGA)
##
## Kruskal-Wallis rank sum test
##
## data: log2.FAM86A by N2
## Kruskal-Wallis chi-squared = 0.54766, df = 3, p-value = 0.9083
pairwise.wilcox.test((sub_TCGA$log2.FAM86A), sub_TCGA$N2,
paired=FALSE,
p.adjust.method = "BH")
##
## Pairwise comparisons using Wilcoxon rank sum test with continuity correction
##
## data: (sub_TCGA$log2.FAM86A) and sub_TCGA$N2
##
## N0 N1 N2
## N1 0.93 - -
## N2 0.93 0.93 -
## N3 0.93 0.93 0.93
##
## P value adjustment method: BH
#by M
sub_TCGA<-sub_TCGA %>%
mutate(M2 = case_when(rse.paper_Pathologic.M == 'M0' ~ 'M0',
rse.paper_Pathologic.M == 'M1' ~ 'M1'))
ggplot(data=subset(sub_TCGA, !is.na(M2)),aes(x=M2,y=log2.FAM86A,fill=M2))+
stat_boxplot(geom ='errorbar',width=.2) +
geom_jitter(colour='gray90',alpha=.8,width = .2)+
geom_boxplot(width=.6)+
theme_Publication()+
scale_fill_aziz()+
scale_y_continuous(expand=expand_scale(mult = c(0.1,0.2)))+
theme(axis.text = element_text(family = "Arial",color="black"),
axis.title.y = element_text(vjust = 2.5),
axis.text.x = element_text(angle = 45,vjust = 1, hjust=1),
legend.position = 'none',
aspect.ratio = 1.85,
panel.grid.major.x = element_blank())+
labs(y=expression('FAM86A expression (log'[2]*")"),x=NULL)

wilcox.test(log2.FAM86A ~ M2, data = sub_TCGA,
exact = FALSE)
##
## Wilcoxon rank sum test with continuity correction
##
## data: log2.FAM86A by M2
## W = 2122.5, p-value = 0.5602
## alternative hypothesis: true location shift is not equal to 0
sub_rse<-sub_TCGA
colnames(sub_rse)
## [1] "rse.paper_patient" "FAM86A"
## [3] "C2orf34" "PRMT1"
## [5] "rse.paper_Gender" "rse.paper_Pathologic.T"
## [7] "rse.paper_Pathologic.N" "rse.paper_Pathologic.M"
## [9] "rse.paper_Molecular.Subtype" "rse.paper_Lauren.Class"
## [11] "rse.paper_Age.at.Initial.Diagnosis" "rse.paper_Vital.Status"
## [13] "rse.paper_Days.to.Death" "rse.paper_Days.to.Last.Follow.up"
## [15] "rse.paper_Days.to.Recurrence" "rse.paper_ARID1A.mutation"
## [17] "rse.paper_KRAS.mutation" "rse.paper_PIK3CA.mutation"
## [19] "rse.paper_RHOA.mutation" "rse.paper_TP53.mutation"
## [21] "log2.FAM86A" "log2.CAMKMT"
## [23] "log2.PRMT1" "T2"
## [25] "N2" "M2"
sub_rse<-sub_rse %>%
mutate(Lauren2 = case_when(rse.paper_Lauren.Class == 'Diffuse' ~ 'Diffuse',
rse.paper_Lauren.Class == 'Intestinal' ~ 'Intestinal',
rse.paper_Lauren.Class == 'Mixed' ~ 'Mixed'))
ggplot(data=subset(sub_rse, !is.na(Lauren2)),aes(x=Lauren2,y=log2.FAM86A,fill=Lauren2))+
stat_boxplot(geom ='errorbar',width=.2) +
geom_jitter(colour='gray90',alpha=.8,width = .2)+
geom_boxplot(width=.6)+
theme_Publication()+
scale_fill_aziz()+
scale_y_continuous(expand=expand_scale(mult = c(0.1,0.2)))+
theme(axis.text = element_text(family = "Arial",color="black"),
axis.title.y = element_text(vjust = 2.5),
axis.text.x = element_text(angle = 45,vjust = 1, hjust=1),
legend.position = 'none',
aspect.ratio = 1.85,
panel.grid.major.x = element_blank())+
labs(y=expression('FAM86A expression (log'[2]*")"),x=NULL)

kruskal.test(log2.FAM86A ~ Lauren2, data = sub_rse)
##
## Kruskal-Wallis rank sum test
##
## data: log2.FAM86A by Lauren2
## Kruskal-Wallis chi-squared = 11.864, df = 2, p-value = 0.002653
pairwise.wilcox.test(sub_rse$log2.FAM86A, sub_rse$Lauren2,
p.adjust.method = "BH")
##
## Pairwise comparisons using Wilcoxon rank sum test with continuity correction
##
## data: sub_rse$log2.FAM86A and sub_rse$Lauren2
##
## Diffuse Intestinal
## Intestinal 0.0016 -
## Mixed 0.4017 0.4017
##
## P value adjustment method: BH
#Mol.sub
sub_rse<-sub_rse %>%
mutate(mol_tcga = case_when(rse.paper_Molecular.Subtype == 'CIN' ~ 'CIN',
rse.paper_Molecular.Subtype == 'EBV' ~ 'EBV',
rse.paper_Molecular.Subtype == 'GS' ~ 'GS',
rse.paper_Molecular.Subtype == 'MSI' ~ 'MSI'))
ggplot(data=subset(sub_rse, !is.na(mol_tcga)),aes(x=mol_tcga,y=log2.FAM86A,fill=mol_tcga))+
stat_boxplot(geom ='errorbar',width=.2) +
geom_jitter(colour='gray90',alpha=.8,width = .2)+
geom_boxplot(width=.6)+
theme_Publication()+
scale_fill_aziz()+
scale_y_continuous(expand=expand_scale(mult = c(0.1,0.2)))+
theme(axis.text = element_text(family = "Arial",color="black"),
axis.title.y = element_text(vjust = 2.5),
axis.text.x = element_text(angle = 45,vjust = 1, hjust=1),
legend.position = 'none',
aspect.ratio = 1.5,
panel.grid.major.x = element_blank())+
labs(y=expression('FAM86A expression (log'[2]*")"),x=NULL)

kruskal.test(log2.FAM86A ~ mol_tcga, data = sub_rse)
##
## Kruskal-Wallis rank sum test
##
## data: log2.FAM86A by mol_tcga
## Kruskal-Wallis chi-squared = 19.22, df = 3, p-value = 0.0002462
pairwise.wilcox.test(sub_rse$log2.FAM86A, sub_rse$mol_tcga,paired=FALSE,
p.adjust.method = "BH")
##
## Pairwise comparisons using Wilcoxon rank sum test with continuity correction
##
## data: sub_rse$log2.FAM86A and sub_rse$mol_tcga
##
## CIN EBV GS
## EBV 0.04036 - -
## GS 0.02782 0.57278 -
## MSI 0.22058 0.00258 0.00011
##
## P value adjustment method: BH